| 查看: 700 | 回复: 6 | ||
[求助]
数据拟合
|
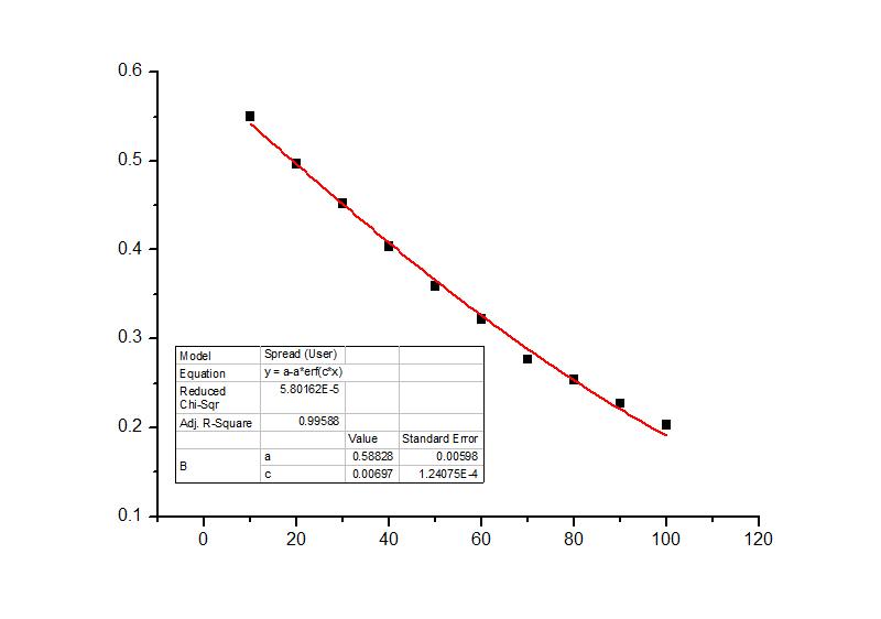
| 我有一组数据(10, 0.550) ;(20, 0.497); (30, 0.452); (40, 0.404); (50, 0.359);(60, 0.322); (70, 0.277); (80, 0.254); (90, 0.227); (100, 0.203) 需要按下面公式拟合:Y=P1*(1-erf(P2*X)) .P1,P2为拟合系数,erf为误差函数. |
» 猜你喜欢
新西兰Robinson研究所招收全奖PhD
已经有0人回复
石墨烯转移--二氧化硅衬底石墨烯
已经有0人回复
物理学I论文润色/翻译怎么收费?
已经有202人回复
笼目材料中量子自旋液体基态的证据
已经有0人回复
数学教学论硕士可以读数学物理博士吗?
已经有0人回复
德国亥姆霍兹Hereon中心汉堡分部招镁合金腐蚀裂变SCC课题方向2026公派博士生
已经有4人回复
澳门大学 应用物理及材料工程研究院 潘晖教授课题组诚招博士后
已经有11人回复
求助NH4V4O10晶体的CIF文件
已经有0人回复
英国全奖博士招聘-深度学习与量子物理
已经有0人回复
间接带隙半导体有效质量求助
已经有1人回复
投稿chemical physical letters不送审?
已经有2人回复
claymore88
木虫 (正式写手)
- 应助: 9 (幼儿园)
- 金币: 3220.2
- 散金: 50
- 红花: 13
- 帖子: 430
- 在线: 296.7小时
- 虫号: 1439287
- 注册: 2011-10-12
- 性别: GG
- 专业: 光学

2楼2012-07-07 18:52:40
3楼2012-07-07 19:00:52
4楼2012-07-07 19:17:54
dingd
铁杆木虫 (职业作家)
- 计算强帖: 4
- 应助: 1641 (讲师)
- 金币: 15037.3
- 散金: 101
- 红花: 234
- 帖子: 3410
- 在线: 1223.7小时
- 虫号: 291104
- 注册: 2006-10-28
【答案】应助回帖
★
感谢参与,应助指数 +1
dbb627: 金币+1, 感谢应助 2012-07-07 21:16:00
感谢参与,应助指数 +1
dbb627: 金币+1, 感谢应助 2012-07-07 21:16:00
|
1stOpt更简单: 均方差(RMSE): 0.00681270023610345 残差平方和(SSE): 0.00046412884507004 相关系数(R): 0.998186912524692 相关系数之平方(R^2): 0.996377112335577 决定系数(DC): 0.996341827198767 卡方系数(Chi-Square): 0.000869520603508887 F统计(F-Statistic): 2186.88411802294 参数 最佳估算 ---------- ------------- p1 0.588271639328896 p2 0.0069690575710028 |
5楼2012-07-07 21:01:19
claymore88
木虫 (正式写手)
- 应助: 9 (幼儿园)
- 金币: 3220.2
- 散金: 50
- 红花: 13
- 帖子: 430
- 在线: 296.7小时
- 虫号: 1439287
- 注册: 2011-10-12
- 性别: GG
- 专业: 光学

6楼2012-07-07 22:29:20
claymore88
木虫 (正式写手)
- 应助: 9 (幼儿园)
- 金币: 3220.2
- 散金: 50
- 红花: 13
- 帖子: 430
- 在线: 296.7小时
- 虫号: 1439287
- 注册: 2011-10-12
- 性别: GG
- 专业: 光学

7楼2012-07-07 22:57:57













回复此楼