| 查看: 674 | 回复: 0 | ||
[求助]
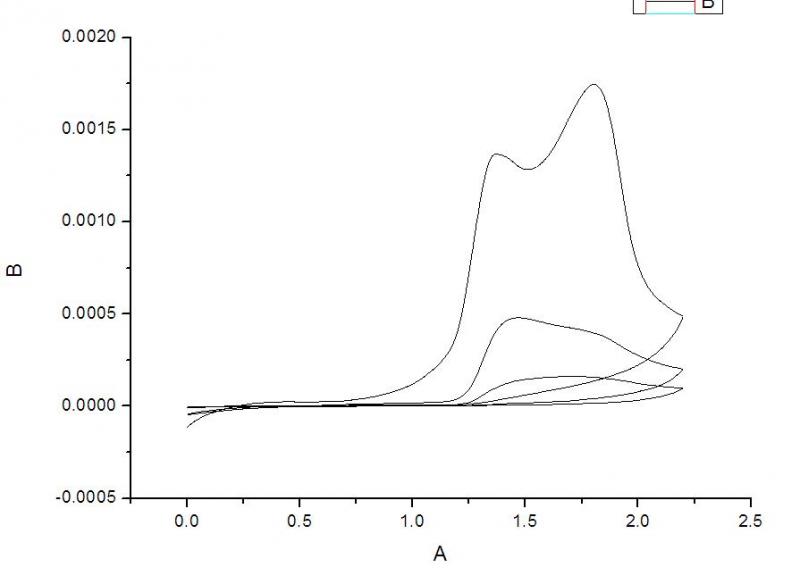
求助循环伏安电流下降如此之快!
|
|
小弟做的是电极材料,将材料涂覆在玻碳电极上制成工作电极运用在我的的体系扫描循环伏安曲线,为什么电流下降很快?不稳定,而且两种不同负载材料的电流下降趋势是一致的,我的材料是以碳管为基底的复合材料!请各位前辈高手指教! [ Last edited by 857688363 on 2012-6-28 at 11:11 ] |
» 本帖附件资源列表
-
欢迎监督和反馈:小木虫仅提供交流平台,不对该内容负责。
本内容由用户自主发布,如果其内容涉及到知识产权问题,其责任在于用户本人,如对版权有异议,请联系邮箱:xiaomuchong@tal.com - 附件 1 : UNTITLED.opj
2012-06-28 11:05:48, 336.86 K
» 猜你喜欢
湖南农业大学能源材料创新团队招收2025化学专业研究生(学硕)调剂
已经有0人回复
2026年西华大学材料学院-材料近净成形与表面技术研究团队-招收调剂研究生
已经有9人回复
分析化学论文润色/翻译怎么收费?
已经有107人回复
调剂信息
已经有0人回复
华南理工0703化学,总分336求调剂
已经有8人回复
河北农大生物与医药专业招收调剂,名额充足
已经有0人回复
齐鲁工业大学 国家重点实验室-新能源、锂离子电池、材料、化学方向
已经有0人回复
一志愿前4位代码0703均可报名-河北大学分析化学专业招收调剂考生
已经有57人回复
★★爆★★0860生物与医药调剂考生看过来,河北大学化学与材料科学学院
已经有73人回复
杰青/长江团队招收调剂
已经有0人回复
中南林业科技大学罗勇锋教授团队2026年招收材料类调剂研究生
已经有0人回复
» 本主题相关商家推荐: (我也要在这里推广)
找到一些相关的精华帖子,希望有用哦~
求助 循环伏安图
已经有21人回复
有关循环伏安的峰电流
已经有7人回复
【求助】循环伏安+背景电流
已经有5人回复
【求助】关于循环伏安峰电流值问题
已经有10人回复
【求助】请问:对与甲醇的电催化氧化,循环伏安和计时电流曲线问题
已经有5人回复
【求助】循环伏安的峰电流问题
已经有16人回复
【求助】循环伏安曲线分析
已经有20人回复
【求助】循环伏安曲线
已经有16人回复
科研从小木虫开始,人人为我,我为人人














回复此楼

点击这里搜索更多相关资源