24小时热门版块排行榜    

Znn3bq.jpeg
查看: 380  |  回复: 0

冰雪下的岩浆

新虫 (初入文坛)

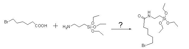
[求助] 反应求助脂肪伯胺和6-溴己酸生成酰胺?

6-溴己酸和胺丙基三乙基硅烷(APTES)反应,想要生成酰胺,但如何避免溴代烷与胺反应呀?求助各位高手说下详尽的反应条件O(∩_∩)O~
回复此楼

» 猜你喜欢

已阅   回复此楼   关注TA 给TA发消息 送TA红花 TA的回帖
相关版块跳转 我要订阅楼主 冰雪下的岩浆 的主题更新
最具人气热帖推荐 [查看全部] 作者 回/看 最后发表
[基金申请] 评审有感 +10 popular289 2026-05-18 16/800 2026-05-19 14:46 by popular289
[文学芳草园] 献血感触 +3 呀呀好傻 2026-05-19 3/150 2026-05-19 14:04 by jasswind
[有机交流] 反应很差,大量原料没有反应 5+3 Mr.Zot 2026-05-19 3/150 2026-05-19 13:56 by xtlilibin
[考博] 找博士生导师 +6 小代想上岸 2026-05-15 7/350 2026-05-19 10:22 by free_fisher
[考博] 26/27申博自荐-锂/钠电池方向 5+3 狗头军师. 2026-05-15 4/200 2026-05-19 09:10 by moonboat
[基金申请] 同样的基金本子,换个专家直接从C变A! +3 国自然国社科中 2026-05-19 3/150 2026-05-19 08:50 by Equinoxhua
[基金申请] 别被青基扩招骗了!26年科研内卷才刚刚开始 +3 国自然国社科中 2026-05-14 4/200 2026-05-19 08:48 by archvillain
[考博] 26/27博士推荐 +4 1木头人13949 2026-05-13 4/200 2026-05-19 08:29 by zhyzzh
[考博] 2026博士还有哪些学校有名额 +7 小王求读研 2026-05-15 8/400 2026-05-19 08:27 by zhyzzh
[基金申请] 国自然上会要求 +5 无名者登山 2026-05-18 9/450 2026-05-18 17:50 by BlakeReary
[基金申请] 今年审到国自然15份,谈谈感受 +16 国自然国社科中 2026-05-17 16/800 2026-05-18 14:58 by gy116024
[硕博家园] 考博自荐 +5 科研狗111 2026-05-13 6/300 2026-05-18 11:22 by 糊糊涂涂好
[基金申请] 青C资助名额大幅增加! +12 西葫芦炒鸡蛋 2026-05-13 16/800 2026-05-18 10:02 by Equinoxhua
[基金申请] 重磅!青年科学基金项目(C类)资助增幅预计超过50% +7 水和泥不是水泥 2026-05-13 10/500 2026-05-18 07:50 by 水和泥不是水泥
[考博] 光量子物理方向 博士招生 1人(2026.09) +3 sandyworld 2026-05-15 4/200 2026-05-17 14:38 by sandyworld
[高分子] 本人最近太闲了,谁有问题可以提,每天会统一回复 +9 一切都是空工 2026-05-12 20/1000 2026-05-16 19:52 by Equinoxhua
[有机交流] 如何实现卤原子转化 +3 BT20230424 2026-05-15 5/250 2026-05-16 16:20 by czyzsu
[硕博家园] 申请博士 +3 呃?呃 2026-05-15 3/150 2026-05-16 11:01 by a4742549
[考博] 26应届毕业生考博求助 +3 wo一定上岸 2026-05-13 3/150 2026-05-14 21:47 by 明海天涯
[论文投稿] 求助大佬sci投稿哪个好中 +3 江沅188 2026-05-12 4/200 2026-05-13 14:35 by 江沅188
信息提示
请填处理意见