版块导航
正在加载中...
客户端APP下载
论文辅导
申博辅导
登录
注册
帖子
帖子
用户
本版
应《网络安全法》要求,自2017年10月1日起,未进行实名认证将不得使用互联网跟帖服务。为保障您的帐号能够正常使用,请尽快对帐号进行手机号验证,感谢您的理解与支持!
24小时热门版块排行榜
>
论坛更新日志
(689)
>
虫友互识
(100)
>
考研
(25)
>
论文道贺祈福
(21)
>
休闲灌水
(20)
>
基金申请
(16)
>
公派出国
(16)
>
博后之家
(14)
>
硕博家园
(13)
>
教师之家
(12)
>
论文投稿
(11)
>
导师招生
(10)
>
考博
(10)
>
找工作
(7)
>
招聘信息布告栏
(3)
>
文献求助
(3)
小木虫论坛-学术科研互动平台
»
化学化工区
»
催化
»
理论交流
»
石墨烯和普鲁士蓝对双氧水电的催化作用
14
1/1
返回列表
查看: 2006 | 回复: 13
只看楼主
@他人
存档
新回复提醒
(忽略)
收藏
在APP中查看
yannanren
银虫
(正式写手)
应助: 0
(幼儿园)
金币: 588.1
帖子: 543
在线: 64.7小时
虫号: 1485525
[交流]
石墨烯和普鲁士蓝对双氧水电的催化作用
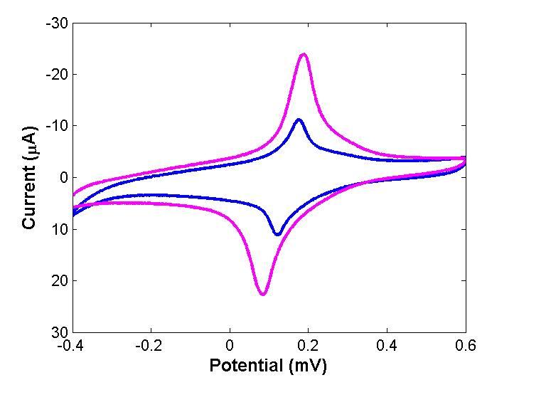
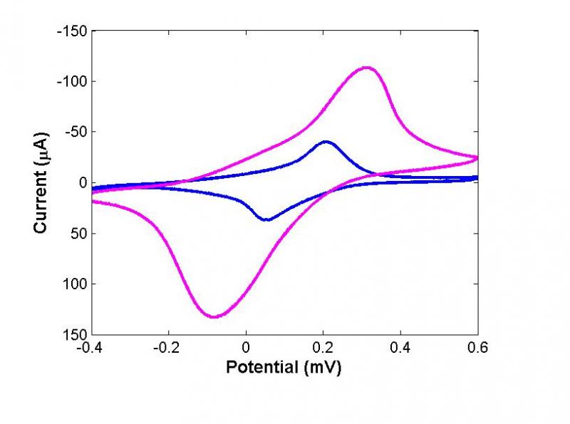
我最近在做氧化石墨烯和普鲁士蓝的协同催化作用,文献上在石墨烯表面电沉积普鲁士蓝催化作用会增强,但我的可逆性变好,但电流响应到减小了(只是在缓冲溶液中做CV图),请大家帮我分析看看到底问题出在什么地方了
回复此楼
» 收录本帖的淘帖专辑推荐
氧化石墨烯(Graphene Oxide)
» 猜你喜欢
双一流大学湘潭大学“化工过程模拟与强化”国家地方联合工程研究中心招收各类博士生
已经有15人回复
双一流大学湘潭大学“化工过程模拟与强化”国家地方联合工程研究中心招收各类博士生
已经有10人回复
化学工程及工业化学论文润色/翻译怎么收费?
已经有230人回复
双一流大学湘潭大学“化工过程模拟与强化”国家地方联合工程研究中心招收各类博士生
已经有21人回复
南京大学蔡亮课题组诚招2026年申请-考核制博士生2-3名(电解水制氢,XAFS谱学等)
已经有32人回复
求助各位大佬配位化学学习教材!!!
已经有0人回复
大连海事大学国家级人才团队2026年博士研究生招生启事
已经有10人回复
内蒙古大学青年长江学者王蕾教授课题组2026年博士招聘,2-3人
已经有11人回复
双一流大学湘潭大学“化工过程模拟与强化”国家地方联合工程研究中心招收各类博士生
已经有22人回复
多相催化-2026年CSC博士及洪堡合作博士后招生!
已经有0人回复
求一个缩酮反应的产物
已经有0人回复
» 本主题相关商家推荐:
(我也要在这里推广)
高级回复
» 本主题相关价值贴推荐,对您同样有帮助:
请教碳材料的氮气吸附脱附曲线分析!请各位大神不吝赐教!~~
已经有5人回复
谁能给我一些石墨烯/陶瓷块体复合材料的相关论文,谢谢!!!
已经有6人回复
近期光合作用以及石墨烯自然化学以及通讯两篇文献下载
已经有43人回复
双氧水催化丙烯环氧化的产品检测问题
已经有8人回复
石墨烯载PtNi 的CV表征
已经有10人回复
关于金属和石墨烯材料的电化学测试
已经有9人回复
审稿人问石墨烯与酶的相互作用需用FT-IR表征,请问能看出来吗?
已经有6人回复
大连化物所用CVD方法能得到大面积、单层、单晶石墨烯,报道在Nature上
已经有10人回复
如何判断石墨烯与某些光催化剂结合能否产生更好的催化效果
已经有15人回复
小片的石墨烯有什么潜在作用?
已经有18人回复
高超课题组用石墨烯纺成米级纤维
已经有17人回复
有关石墨烯分解温度的问题
已经有8人回复
碳纳米管和石墨烯在200度2MPa的条件下,能长时间稳定吗?会发生解构之类的可能吗?
已经有9人回复
关于石墨烯和TiO2复合的几篇文章
已经有262人回复
【求助】石墨烯合成时,加入双氧水后是金黄色的么?
已经有12人回复
» 抢金币啦!回帖就可以得到:
查看全部散金贴
我的现状交流,续:老公辞职读博,我一个人白天工作晚上带孩子,真的累啊!
+
1
/464
加拿大/英属哥伦比亚大学曹彦凯课题组招收全奖博士/博后 [机器学习/优化/控制方向]
+
1
/84
华东师范大学 程义云 课题组招2026年博士研究生 - 有机化学、材料化学、高分子合成等
+
1
/82
湘潭大学化学学院陈华杰教授课题组招收有机/高分子方向的博士研究生
+
1
/81
华东师范大学 程义云 课题组招2026年博士研究生 - 有机化学、材料化学、高分子合成等
+
1
/79
中国科学院赣江创新研究院特别研究助理/博士后招聘(1-2名)
+
1
/78
招贤纳博(已结束)
+
1
/74
同济大学 物理科学与工程学院 陈振跃(国家高层次青年人才) 课题组招聘博士后
+
1
/73
双一流大学湘潭大学“化工过程模拟与强化”国家地方联合工程研究中心招收各类博士生
+
1
/33
美国圣母大学张艳良教授诚招全奖博士生
+
2
/20
招聘2026年入学博士生
+
1
/17
招募懂有限元、编程能力强的同学,待遇优厚
+
1
/15
中山大学院士团队王来源教授课题组招聘博士后
+
2
/12
【陕西师范大学】催化化学课题组2026年招收博士后/讲师/副高
+
1
/9
南京大学蔡亮课题组诚招2026年申请-考核制博士生2-3名(电解水制氢,XAFS谱学等)
+
1
/6
浙江大学-化工学院刘平伟课题组-二维材料/功能聚合物开发
+
1
/6
湘潭大学2026年招收 力学 博士研究生2名(“申请-考核制”、硕博连读)
+
1
/5
欢迎报考中山大学课题组,确保2025-2026级硕士研究生名额
+
1
/5
有没有一款可以听文献的APP
+
1
/4
南京航空航天大学核科学与技术方向招收博士生
+
1
/1
1楼
2012-06-24 16:20:14
已阅
回复此楼
关注TA
给TA发消息
送TA红花
TA的回帖
初见-XP
金虫
(正式写手)
应助: 32
(小学生)
金币: 1989
帖子: 366
在线: 128.8小时
虫号: 1345175
看不见你的CV曲线啊
赞
一下
回复此楼
2楼
2012-06-25 08:00:42
已阅
回复此楼
关注TA
给TA发消息
送TA红花
TA的回帖
yannanren
银虫
(正式写手)
应助: 0
(幼儿园)
金币: 588.1
帖子: 543
在线: 64.7小时
虫号: 1485525
引用回帖:
2楼
:
Originally posted by
初见-XP
at 2012-06-25 08:00:42
看不见你的CV曲线啊
红线的是裸电极蓝线是石墨烯修饰电极,帮帮分析下啦,我不知道为什么哦
赞
一下
回复此楼
3楼
2012-06-25 08:35:47
已阅
回复此楼
关注TA
给TA发消息
送TA红花
TA的回帖
初见-XP
金虫
(正式写手)
应助: 32
(小学生)
金币: 1989
帖子: 366
在线: 128.8小时
虫号: 1345175
★ ★ ★ ★ ★ ★
小木虫: 金币+0.5, 给个红包,谢谢回帖
yannanren: 金币+5
2012-06-25 15:42:11
峰强是不是跟你的电极修饰有关啊,但是峰的位移确实是变小了,还是能够说明其活性增强的。 个人观点。
赞
一下
回复此楼
6楼
2012-06-25 14:00:13
已阅
回复此楼
关注TA
给TA发消息
送TA红花
TA的回帖
yannanren
银虫
(正式写手)
应助: 0
(幼儿园)
金币: 588.1
帖子: 543
在线: 64.7小时
虫号: 1485525
引用回帖:
6楼
:
Originally posted by
初见-XP
at 2012-06-25 14:00:13
峰强是不是跟你的电极修饰有关啊,但是峰的位移确实是变小了,还是能够说明其活性增强的。 个人观点。
我是按照文献上的方法进行修饰的,文献上放上石墨烯后电流强度会增大,而且好多文献上都是那样,他们的石墨烯是自己合成的,我用的是直接买的标准品,理论上应该比合成的石墨烯更好的,但是效果总是不太好
赞
一下
回复此楼
8楼
2012-06-25 15:44:57
已阅
回复此楼
关注TA
给TA发消息
送TA红花
TA的回帖
带霜寒
金虫
(正式写手)
应助: 27
(小学生)
金币: 1390.8
帖子: 530
在线: 247小时
虫号: 1193989
★
小木虫: 金币+0.5, 给个红包,谢谢回帖
考虑了成膜的厚度问题了吗
赞
一下
回复此楼
10楼
2012-10-21 20:31:21
已阅
回复此楼
关注TA
给TA发消息
送TA红花
TA的回帖
starvyes
木虫
(正式写手)
应助: 88
(初中生)
金币: 2497.4
帖子: 779
在线: 175.9小时
虫号: 1635677
★
小木虫: 金币+0.5, 给个红包,谢谢回帖
你的峰有位移啊,还是有效果的嘛。不过你确认买的是石墨烯而不是氧化石墨烯,因为氧化石墨烯对普鲁士蓝的复合能力远远大于石墨烯,不放自己合成下试试。
赞
一下
回复此楼
12楼
2012-10-22 09:00:11
已阅
回复此楼
关注TA
给TA发消息
送TA红花
TA的回帖
我要守家
银虫
(小有名气)
应助: 0
(幼儿园)
金币: 407.6
帖子: 93
在线: 84.3小时
虫号: 3474437
★
小木虫: 金币+0.5, 给个红包,谢谢回帖
我现在做的时候也出现了相同的问题,你是怎么解决的
赞
一下
回复此楼
13楼
2017-07-15 17:15:55
已阅
回复此楼
关注TA
给TA发消息
送TA红花
TA的回帖
给你顶皇冠
铁虫
(初入文坛)
应助: 0
(幼儿园)
金币: 13
帖子: 45
在线: 10.6小时
虫号: 7213741
求楼主的文献
回复此楼
14楼
2017-11-29 11:25:50
已阅
回复此楼
关注TA
给TA发消息
送TA红花
TA的回帖
简单回复
zhoucb
4楼
2012-06-25 08:44
回复
jls3687
5楼
2012-06-25 09:05
回复
qingheyouyou
7楼
2012-06-25 14:45
回复
刘伟利
9楼
2012-06-25 15:48
回复
祝福!!
1234liang
11楼
2012-10-22 08:32
回复
相关版块跳转
有机交流
有机资源
高分子
无机/物化
分析
催化
工艺技术
化工设备
石油化工
精细化工
电化学
环境
SciFinder/Reaxys
我要订阅楼主
yannanren
的主题更新
14
1/1
返回列表
如果回帖内容含有宣传信息,请如实选中。否则帐号将被全论坛禁言
普通表情
龙
兔
虎
猫
高级回复
(可上传附件)
百度网盘
|
360云盘
|
千易网盘
|
华为网盘
在新窗口页面中打开自己喜欢的网盘网站,将文件上传后,然后将下载链接复制到帖子内容中就可以了。
信息提示
关闭
请填处理意见
关闭
确定