版块导航
正在加载中...
客户端APP下载
论文辅导
调剂小程序
登录
注册
帖子
帖子
用户
本版
应《网络安全法》要求,自2017年10月1日起,未进行实名认证将不得使用互联网跟帖服务。为保障您的帐号能够正常使用,请尽快对帐号进行手机号验证,感谢您的理解与支持!
24小时热门版块排行榜
>
论坛更新日志
(3221)
>
虫友互识
(1106)
>
休闲灌水
(233)
>
导师招生
(173)
>
文献求助
(104)
>
论文投稿
(72)
>
考博
(43)
>
博后之家
(42)
>
硕博家园
(34)
>
基金申请
(33)
>
考研
(32)
>
招聘信息布告栏
(27)
>
找工作
(27)
>
教师之家
(22)
>
论文道贺祈福
(17)
>
公派出国
(17)
小木虫论坛-学术科研互动平台
»
计算模拟区
»
第一性原理
»
Vasp&MedeA
»
掺杂 E-V曲线
4
1/1
返回列表
查看: 525 | 回复: 3
只看楼主
@他人
存档
新回复提醒
(忽略)
收藏
在APP中查看
fjfuzhou
金虫
(小有名气)
应助: 2
(幼儿园)
金币: 724.7
帖子: 158
在线: 65.4小时
虫号: 1467001
[交流]
掺杂 E-V曲线
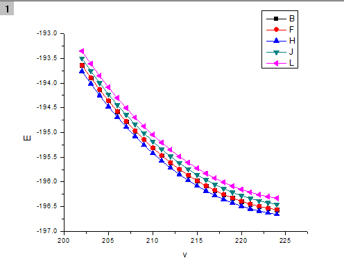
vasp计算的体积是212.72,E-V曲线走势是如图所示,帮忙分析一下是什么原因?是不能在这些位置取代?还是这些位置取代不稳定?(图示是Ti6Ru2O16的E-V 只是Ru的位置不同而已,)请各位大侠帮忙分析一下?
回复此楼
» 本帖附件资源列表
欢迎监督和反馈:小木虫仅提供交流平台,不对该内容负责。
本内容由用户自主发布,如果其内容涉及到知识产权问题,其责任在于用户本人,如对版权有异议,请联系邮箱:xiaomuchong@tal.com
附件 1 :
E-V-2.opj
2012-06-15 19:28:54, 153.12 K
附件 2 :
E-V.doc
2012-06-15 19:29:03, 46.5 K
» 猜你喜欢
情人节自我反思:在爱情中有过遗憾吗?
已经有6人回复
基金正文30页指的是报告正文还是整个申请书
已经有4人回复
今年春晚有几个节目很不错,点赞!
已经有6人回复
球磨粉体时遇到了大的问题,请指教!
已经有15人回复
过年走亲戚时感受到了所开私家车的鄙视链
已经有5人回复
江汉大学解明教授课题组招博士研究生/博士后
已经有3人回复
高级回复
» 本主题相关价值贴推荐,对您同样有帮助:
castep 紧急求助 错误信息为什么
已经有9人回复
【求助】截断能优化该选择曲线的最低点还是继续优化以致稳定?
已经有24人回复
【其他】关于收敛测试的问题
已经有22人回复
» 抢金币啦!回帖就可以得到:
查看全部散金贴
坐标广州,征女友
+
2
/144
天津科技大学海洋与环境学院殷焕顺团队招博士生1名---分析化学领域
+
1
/87
ChineseResearchLaTeX: 开源、免费的vibe coding辅助国自然写作
+
1
/83
一个陌生女人的来信
+
1
/62
北京-89175-事业单位-诚征女友
+
1
/60
海南大学海洋技术与装备学院-科研助理招聘(可读博)--膜分离水处理方向
+
1
/31
国家级青年人才课题组招收2026级硕士研究生
+
1
/30
海南大学海洋技术与装备学院-科研助理招聘(可读博)膜分离水处理方向
+
1
/28
南京医科大学国家级高层次青年人才团队招收博士后
+
1
/14
上海交通大学-宁波东方理工大学联合培养博士生
+
1
/10
湖南大学-分析检测技术和生物柔性传感器-招收1名博士研究生 (2026年,第二批)
+
1
/8
墨尔本大学(QS13)招全奖博士、CSC资助博士/访问学者(生物医学材料/器官芯片等方向)
+
1
/7
澳科大招收2026年秋季药物递送/生物材料方向硕士研究生(3月5日18:00报名截止)
+
1
/5
哈工大(深圳)国家级青年人才 钟颖教授课题组 新增26级博士名额!欢迎报名!
+
1
/4
英国伯明翰大学Dr Yueting Sun招收博士生/访问学生学者(化学材料力学工程等方向)
+
1
/4
德国图宾根大学诚招全奖岗位制博士(地下流固化学反应耦合数值模拟方向)
+
1
/3
南京大学能源与资源学院徐加陵课题组招聘:科研助理、硕士生、博士生
+
1
/3
【科研助理招聘-北京理工大学-集成电路与电子学院-国家杰青团队】
+
1
/2
国内树枝状聚合物现在进入量产了吗?
+
1
/1
德国图宾根大学诚招全奖岗位制博士(地下流固化学反应耦合数值模拟方向)
+
1
/1
1楼
2012-06-15 19:33:55
已阅
回复此楼
关注TA
给TA发消息
送TA红花
TA的回帖
mousekingadv
金虫
(小有名气)
应助: 51
(初中生)
金币: 1141.8
帖子: 140
在线: 28.7小时
虫号: 1721002
★ ★
fjfuzhou(金币+1): 谢谢参与
xueht987: 金币+1, 谢谢回帖,鼓励交流!
2012-06-16 00:36:06
什么叫“vasp计算的体积是212.72”?楼主弛豫晶格了吗?需要设置ISIF!=2的同时设置NSW、IBRION
赞
一下
回复此楼
2楼
2012-06-15 20:15:37
已阅
回复此楼
关注TA
给TA发消息
送TA红花
TA的回帖
fangyongxinxi
新虫
(正式写手)
应助: 0
(幼儿园)
金币: 41
帖子: 876
在线: 138.5小时
虫号: 437418
★ ★
fjfuzhou(金币+1): 谢谢参与
xueht987: 金币+1, 谢谢回帖,鼓励交流!
2012-06-16 12:23:17
按理来说应该是抛物线才对。
1. 估计是未参杂的模型,没有结构优化好
赞
一下
回复此楼
3楼
2012-06-16 12:17:12
已阅
回复此楼
关注TA
给TA发消息
送TA红花
TA的回帖
fangyongxinxi
新虫
(正式写手)
应助: 0
(幼儿园)
金币: 41
帖子: 876
在线: 138.5小时
虫号: 437418
★
xueht987: 金币+1, 谢谢回帖,鼓励交流!
2012-06-16 12:23:25
前期在做未参杂的时候,计算前就需要测试晶格常数,得到一条抛物线,选最低的晶格常数来计算。(不能直接拿来优化,然后取结果,那样会有差别)。
赞
一下
回复此楼
4楼
2012-06-16 12:18:35
已阅
回复此楼
关注TA
给TA发消息
送TA红花
TA的回帖
相关版块跳转
第一性原理
量子化学
计算模拟
分子模拟
仿真模拟
程序语言
我要订阅楼主
fjfuzhou
的主题更新
4
1/1
返回列表
如果回帖内容含有宣传信息,请如实选中。否则帐号将被全论坛禁言
普通表情
龙
兔
虎
猫
高级回复
(可上传附件)
百度网盘
|
360云盘
|
千易网盘
|
华为网盘
在新窗口页面中打开自己喜欢的网盘网站,将文件上传后,然后将下载链接复制到帖子内容中就可以了。
信息提示
关闭
请填处理意见
关闭
确定