| 查看: 1224 | 回复: 2 | |
lihaiyong826
|
[求助]
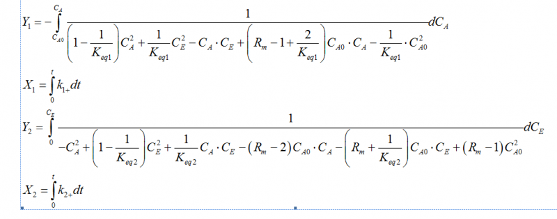
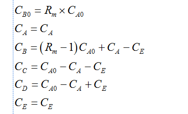
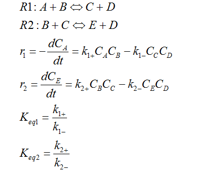
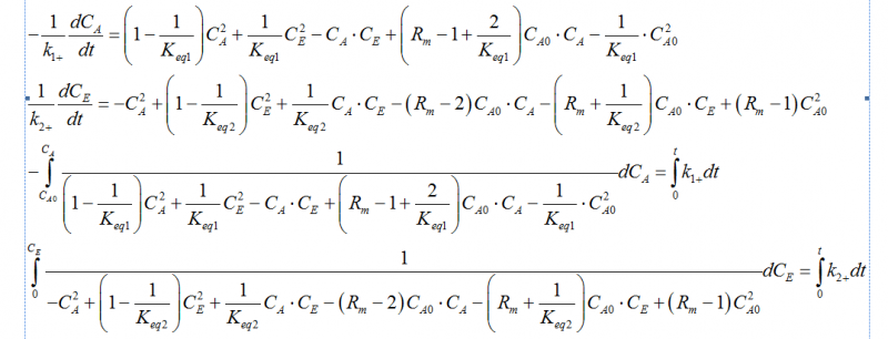
求连续二级反应动力学模型计算方法
|
|
|
|
白姣姣金虫 (正式写手)
快乐的豆豆
|
|
![]() |
|
|
2楼2012-06-14 10:12:05
|
|
lihaiyong826
|
|
|
3楼2012-06-18 11:07:49
|
|















回复此楼

10