版块导航
正在加载中...
客户端APP下载
论文辅导
申博辅导
登录
注册
帖子
帖子
用户
本版
应《网络安全法》要求,自2017年10月1日起,未进行实名认证将不得使用互联网跟帖服务。为保障您的帐号能够正常使用,请尽快对帐号进行手机号验证,感谢您的理解与支持!
24小时热门版块排行榜
>
论坛更新日志
(2474)
>
虫友互识
(338)
>
导师招生
(87)
>
文献求助
(79)
>
休闲灌水
(66)
>
硕博家园
(56)
>
考博
(21)
>
博后之家
(19)
>
论文投稿
(19)
>
公派出国
(15)
>
考研
(15)
>
教师之家
(14)
>
找工作
(13)
>
基金申请
(12)
>
标准与专利
(12)
>
论文道贺祈福
(11)
小木虫论坛-学术科研互动平台
»
化学化工区
»
电化学
»
电化学传感器
»
求助 大侠们 帮我看一下这个图是否有还原峰
5
1/1
返回列表
查看: 1129 | 回复: 4
只看楼主
@他人
存档
新回复提醒
(忽略)
收藏
在APP中查看
519459476
金虫
(小有名气)
应助: 0
(幼儿园)
金币: 973.8
散金: 60
红花: 1
帖子: 290
在线: 114.5小时
虫号: 1011621
注册: 2010-05-05
性别:
MM
专业: 电化学分析
[
求助
]
求助 大侠们 帮我看一下这个图是否有还原峰
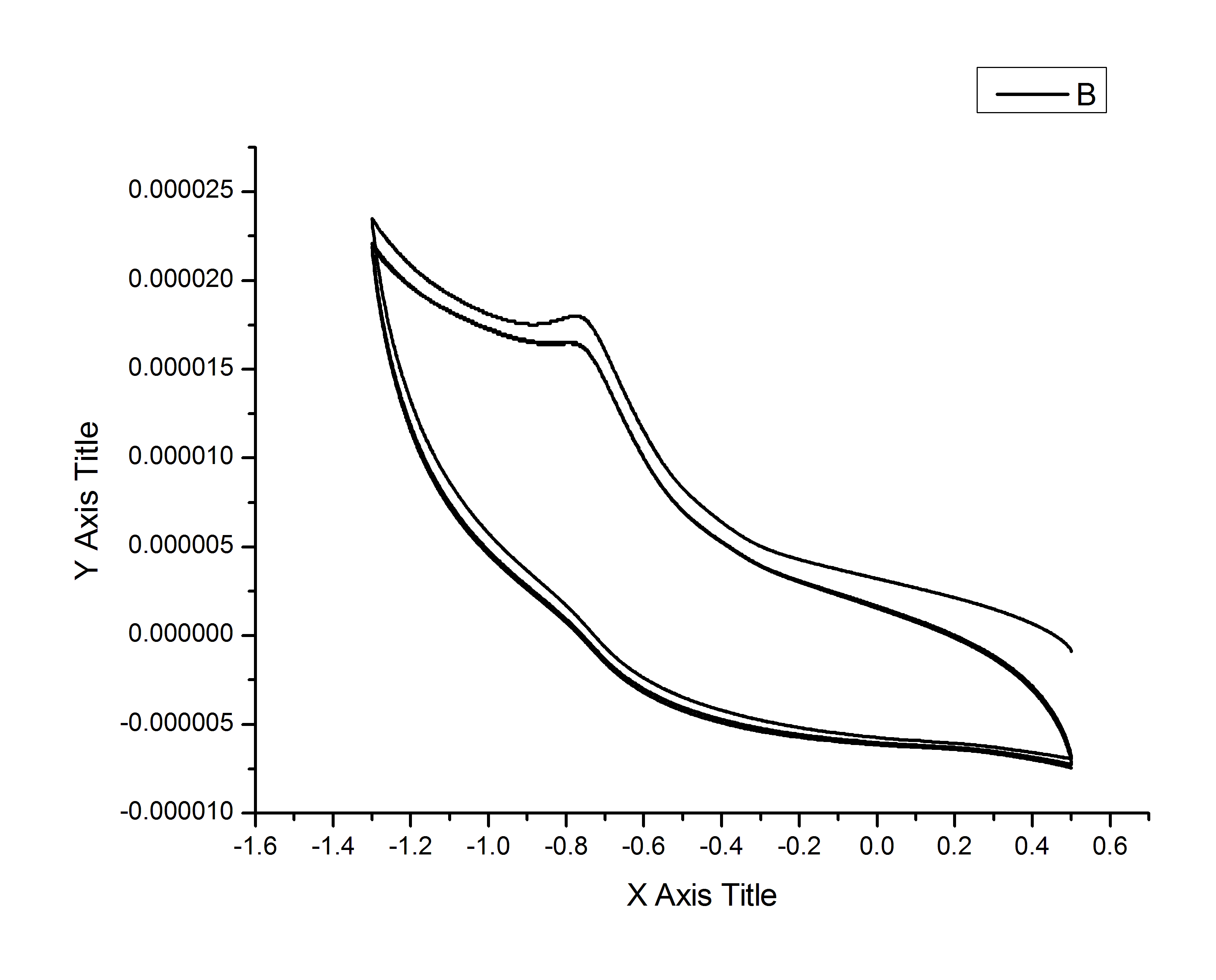
大侠们 帮我看一下上传的这个图能说明有还原峰吗? 扫描时仪器没有显示出还原峰数据, 我自己能手动抓峰吗?
CV图
回复此楼
» 猜你喜欢
海南师范大学2026年博士研究生招收 (在职想提升学历人员可报考) 申请考核制
已经有0人回复
锂离子电池循环寿命衰减过快,求机理分析与改进思路
已经有2人回复
物理化学论文润色/翻译怎么收费?
已经有54人回复
求博导收留
已经有5人回复
CSC & MSCA 博洛尼亚大学能源材料课题组博士/博士后招生|MSCA经费充足、排名优
已经有6人回复
德国Karlsruhe Institute of Technology招收电化学储能及联合培养CSC博士等
已经有20人回复
德国Karlsruhe Institute of Technology招收电化学储能及联合培养CSC博士
已经有19人回复
德国Karlsruhe Institute of Technology招收电化学储能及联合培养CSC博士
已经有1人回复
固态锂金属电池迁移数计算求助
已经有1人回复
荷兰奈梅亨大学赵文博与Galimberti课题组招收理论计算CSC博士 2000 欧元/月+房补
已经有0人回复
» 本主题相关价值贴推荐,对您同样有帮助:
各位大侠们,到底怎么确定CV图各峰处的化学反应
已经有4人回复
求助做电沉积时用循环伏安法扫描就从来没有出现过氧化峰或者是还原峰啊
已经有6人回复
请各位大侠帮忙看一下我的液相色谱图究竟怎么了?
已经有13人回复
【求助】大侠们帮帮我吧!关于管式炉的
已经有3人回复
【求助】请各位大虾帮我看一下,我的图谱和物质对的上吗
已经有5人回复
【求助】CV的氧化还原峰
已经有7人回复
【求助】请大侠帮忙看一下还原的问题,谢谢了
已经有7人回复
【求助】CV图上在-0.8V有很强的还原峰,可是为什么用DPV方法测试却峰值很小呢?
已经有8人回复
【求助】请大侠们帮我看看我的fdf文件对不对
已经有5人回复
【求助】请做磁性材料的大侠们帮我看看这个磁滞回线
已经有12人回复
【求助】求助哪位大侠帮我分析下电子密度差分图
已经有16人回复
【求助】哪位大侠帮我看看掺铝氧化锌的XRD图谱
已经有12人回复
【求助】帮我看一下这个红外谱图位置是什么峰
已经有12人回复
【求助】循环伏安法中只有还原峰没有氧化峰是什么原因
已经有33人回复
1楼
2012-06-05 21:47:17
已阅
回复此楼
关注TA
给TA发消息
送TA红花
TA的回帖
yanbo1986
铁杆木虫
(正式写手)
ECEPI: 2
应助: 232
(大学生)
贵宾: 0.147
金币: 6720.6
散金: 116
红花: 19
帖子: 695
在线: 176.7小时
虫号: 855031
注册: 2009-09-23
性别: GG
专业: 电化学
【答案】应助回帖
★ ★
感谢参与,应助指数 +1
519459476: 金币+2
2012-06-06 16:12:41
在-0.8V左右好像是有一个还原峰,但又不是那么明显。如果非要说是的话也可以,有点勉强。
赞
一下
回复此楼
2楼
2012-06-05 22:42:02
已阅
回复此楼
关注TA
给TA发消息
送TA红花
TA的回帖
高安李敏
铁杆木虫
(职业作家)
应助: 42
(小学生)
金币: 8244.5
散金: 176
红花: 2
帖子: 4097
在线: 486.3小时
虫号: 1107574
注册: 2010-09-25
性别: GG
专业: 有色金属冶金
【答案】应助回帖
★ ★ ★ ★ ★
感谢参与,应助指数 +1
519459476: 金币+5
2012-06-06 16:12:50
从图上看,在-0.6V到-0.8v之间应该是有一个还原峰,但光这么说肯定不能让人信服;但如果此CV曲线对应的金属离子的还原峰的话,你可以再那电位区间做一下恒电位电解,然后做XRD分析,如果电极上有金属沉积出来那就肯定能说明有还原峰存在。
赞
一下
回复此楼
3楼
2012-06-05 23:15:20
已阅
回复此楼
关注TA
给TA发消息
送TA红花
TA的回帖
519459476
金虫
(小有名气)
应助: 0
(幼儿园)
金币: 973.8
散金: 60
红花: 1
帖子: 290
在线: 114.5小时
虫号: 1011621
注册: 2010-05-05
性别:
MM
专业: 电化学分析
引用回帖:
3楼
:
Originally posted by
高安李敏
at 2012-06-05 23:15:20
从图上看,在-0.6V到-0.8v之间应该是有一个还原峰,但光这么说肯定不能让人信服;但如果此CV曲线对应的金属离子的还原峰的话,你可以再那电位区间做一下恒电位电解,然后做XRD分析,如果电极上有金属沉积出来那就肯 ...
大侠 你好。 我测的物质是不是金属离子, 能用其它的方法再次证明吗 ? 可以用DPV测试证明吗? 谢谢大侠哦
赞
一下
回复此楼
4楼
2012-06-06 16:14:48
已阅
回复此楼
关注TA
给TA发消息
送TA红花
TA的回帖
高安李敏
铁杆木虫
(职业作家)
应助: 42
(小学生)
金币: 8244.5
散金: 176
红花: 2
帖子: 4097
在线: 486.3小时
虫号: 1107574
注册: 2010-09-25
性别: GG
专业: 有色金属冶金
引用回帖:
4楼
:
Originally posted by
519459476
at 2012-06-06 16:14:48
大侠 你好。 我测的物质是不是金属离子, 能用其它的方法再次证明吗 ? 可以用DPV测试证明吗? 谢谢大侠哦...
如果你非要看有没有还原峰的话,你可以增大扫描速度试一下,因为峰值大小是与扫描速度平方根成正比的。
赞
一下
(1人)
回复此楼
5楼
2012-06-06 16:18:07
已阅
回复此楼
关注TA
给TA发消息
送TA红花
TA的回帖
相关版块跳转
有机交流
有机资源
高分子
无机/物化
分析
催化
工艺技术
化工设备
石油化工
精细化工
电化学
环境
SciFinder/Reaxys
我要订阅楼主
519459476
的主题更新
5
1/1
返回列表
如果回帖内容含有宣传信息,请如实选中。否则帐号将被全论坛禁言
普通表情
龙
兔
虎
猫
百度网盘
|
360云盘
|
千易网盘
|
华为网盘
在新窗口页面中打开自己喜欢的网盘网站,将文件上传后,然后将下载链接复制到帖子内容中就可以了。
最具人气热帖推荐
[查看全部]
作者
回/看
最后发表
[
公派出国
]
售SCI一区文章,我:8 O5 51O 54,科目齐全
+3
5lbyq5wrhb
2026-02-07
4/200
2026-02-08 08:47
by
vs90ilomwc
[
考博
]
售SCI一区文章,我:8 O5 51O 54,科目齐全
+3
5lbyq5wrhb
2026-02-07
4/200
2026-02-08 08:46
by
vs90ilomwc
[
论文投稿
]
售SCI一区文章,我:8 O5 51O 54,科目齐全
+3
3rkserf6qr
2026-02-07
5/250
2026-02-08 08:32
by
vs90ilomwc
[
硕博家园
]
售SCI一区文章,我:8 O5 51O 54,科目齐全
+3
3rkserf6qr
2026-02-07
4/200
2026-02-08 08:27
by
vs90ilomwc
[
硕博家园
]
售SCI一区文章,我:8 O5 51O 54,科目齐全
+5
2h7du0nuhk
2026-02-07
6/300
2026-02-08 08:26
by
vs90ilomwc
[
考博
]
售SCI一区文章,我:8 O5 51O 54,科目齐全
+5
2h7du0nuhk
2026-02-07
6/300
2026-02-08 08:12
by
vs90ilomwc
[
硕博家园
]
售SCI一区文章,我:8 O5 51O 54,科目齐全
+4
2h7du0nuhk
2026-02-07
6/300
2026-02-08 08:07
by
vs90ilomwc
[
考博
]
售SCI一区文章,我:8 O5 51O 54,科目齐全
+4
2h7du0nuhk
2026-02-07
7/350
2026-02-08 08:06
by
vs90ilomwc
[
教师之家
]
售SCI一区文章,我:8 O5 51O 54,科目齐全
+4
2h7du0nuhk
2026-02-07
7/350
2026-02-08 07:52
by
vs90ilomwc
[
找工作
]
售SCI一区文章,我:8 O5 51O 54,科目齐全
+4
2h7du0nuhk
2026-02-07
7/350
2026-02-08 07:46
by
vs90ilomwc
[
公派出国
]
售SCI一区文章,我:8 O5 51O 54,科目齐全
+4
2h7du0nuhk
2026-02-07
8/400
2026-02-08 07:32
by
vs90ilomwc
[
考博
]
售SCI一区文章,我:8 O5 51O 54,科目齐全
+4
2h7du0nuhk
2026-02-07
8/400
2026-02-08 07:27
by
vs90ilomwc
[
教师之家
]
售SCI一区文章,我:8 O5 51O 54,科目齐全
+4
2h7du0nuhk
2026-02-07
8/400
2026-02-08 07:26
by
vs90ilomwc
[
硕博家园
]
售SCI一区文章,我:8 O5 51O 54,科目齐全
+4
2h7du0nuhk
2026-02-07
8/400
2026-02-08 07:07
by
vs90ilomwc
[
硕博家园
]
博士延得我,科研能力直往上蹿
+8
偏振片
2026-02-02
8/400
2026-02-08 06:52
by
liyeqik
[
教师之家
]
有院领导为了换新车,用横向课题经费买了俩车
+7
瞬息宇宙
2026-02-04
7/350
2026-02-07 21:47
by
tfang
[
基金申请
]
同年申请2项不同项目,第1个项目里不写第2个项目的信息,可以吗
+4
hitsdu
2026-02-06
4/200
2026-02-07 13:07
by
jurkat.1640
[
基金申请
]
有时候真觉得大城市人没有县城人甚至个体户幸福
+9
苏东坡二世
2026-02-04
10/500
2026-02-07 12:37
by
小毛球
[
考博
]
天津大学招2026.09的博士生,欢迎大家推荐交流(博导是本人)
+4
a793625982
2026-02-05
5/250
2026-02-07 10:57
by
a793625982
[
基金申请
]
面上项目申报
+3
Tide man
2026-02-01
3/150
2026-02-05 22:56
by
god_tian
信息提示
关闭
请填处理意见
关闭
确定