| ²é¿´: 2079 | »Ø¸´: 13 | |||
phs100½ð³æ (СÓÐÃûÆø)
|
[ÇóÖú]
ÔõÑùÓÃorigin½«ÒÑÖªº¯ÊýÄ£Äâ³öÀ´
|
||
|
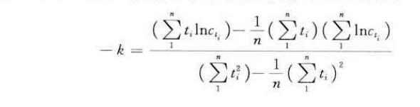
ÔõÑù½«ÒÔÏ·½³ÌÀûÓÃoriginÄ£Äâ³öÀ´£¬²¢Ëã³öÀïÃæµÄ³£Êýk,¸øÎ»³æÓÑÃǰï°ï°¡£¬ÒÔǰҲû×ö¹ýÄ£ÄâÕâ·½Ãæ£¬¹«Ê½ÔÚÒÔÏÂͼƬÀï |
» ÊÕ¼±¾ÌûµÄÌÔÌûר¼ÍƼö
originÈí¼þʹÓà |
» ²ÂÄãϲ»¶
070200Çóµ÷¼Á£¬Ò»Ö¾Ô¸Ä³211£¬288·Ö
ÒѾÓÐ20È˻ظ´
·¨¹ú²©Ê¿ºóְλ
ÒѾÓÐ0È˻ظ´
ÎïÀíѧIÂÛÎÄÈóÉ«/·ÒëÔõôÊÕ·Ñ?
ÒѾÓÐ266È˻ظ´
ÖØÇì½»´ó26Äê˶ʿÉúÕÐÉúÄâµ÷¼Á֪ͨÒѳö£¡»¶Ó¼ÓÈë»úÆ÷ÊÓ¾õÓë3D¹âѧ³ÉÏñ¿ÎÌâ×é¡£
ÒѾÓÐ0È˻ظ´
**
ÒѾÓÐ1È˻ظ´
0702Ò»Ö¾Ô¸¼ª´óBÇøÇóµ÷¼Á ±¾¿ÆÆÚ¼ä·¢±íһƪSci
ÒѾÓÐ3È˻ظ´
»ùµ×STO,±¡Ä¤SRO£¬XRDÀïÃæµÄÕñµ´£¬ÊÇlaueÕðµ´»¹ÊÇkiessigÕñµ´? ÔõôÅжϣ¿
ÒѾÓÐ2È˻ظ´
BÇøÑ§Éúµ÷¼Á-À¼Öݽ»Í¨´óѧ²ÄÁÏ¿ÆÑ§Ó빤³ÌѧԺ
ÒѾÓÐ8È˻ظ´
ɽÎ÷´óͬ´óѧÎïÀíѧרҵ»¹Óе÷¼ÁÃû¶î£¬»¶Óµ÷¼Á£¡
ÒѾÓÐ9È˻ظ´
» ±¾Ö÷ÌâÏà¹Ø¼ÛÖµÌùÍÆ¼ö£¬¶ÔÄúͬÑùÓаïÖú:
origin ²»ÄÜÄâºÏÖ¸Êýº¯Êýô£¿
ÒѾÓÐ5È˻ظ´
origin½øÐзÇÏßÐÔÄâºÏÈçºÎÑ¡Ôñº¯Êý»òÕß×Ô¶¨ÒåºÏÊʵĺ¯Êý
ÒѾÓÐ19È˻ظ´
origin 8.0 ¶ÔÊýº¯ÊýÄâºÏ
ÒѾÓÐ13È˻ظ´
ÇóÖú Origin ×Ô¶¨Ò庯ÊýÊäÈëÎÊÌâ
ÒѾÓÐ4È˻ظ´
ÈçºÎ±àÒëorigin8.0×Ô¶¨Ò庯ÊýµÄ³ÌÐò£¿
ÒѾÓÐ6È˻ظ´
origin½øÐÐ×Ô¶¨Ò庯ÊýµÄÄâºÏ
ÒѾÓÐ3È˻ظ´
ÈçºÎÔÚoriginÖÐÊäÈëÒ»¸öº¯Êý£¨±È½Ï¸´Ôӵĺ¯Êý£©£¬È»ºóµÃµ½ÇúÏß
ÒѾÓÐ13È˻ظ´
ÇëÎÊoriginÀïÃæÔõÑù×Ô¶¨Òå¹éÒ»»¯µÄº¯Êý£¿
ÒѾÓÐ3È˻ظ´
¼±¾Èorigin 7.5º¯Êý×÷ͼ
ÒѾÓÐ15È˻ظ´
origin7.5½¨Á¢º¯ÊýÄâºÏΪʲô»áÕâÑù£¿
ÒѾÓÐ11È˻ظ´
Çë½Ì¹ØÓÚoriginÖÐ×Ô¶¨Ò庯Êý·ÇÏßÐԻعéÄâºÏÎÊÌ⣡
ÒѾÓÐ10È˻ظ´
ÄäÃû
Óû§×¢Ïú (ÖøÃûдÊÖ)
Suhas V. Patankar
- Ó¦Öú: 165 (¸ßÖÐÉú)
- ½ð±Ò: 439.4
- É¢½ð: 3001
- ºì»¨: 10
- ɳ·¢: 1
- Ìû×Ó: 1878
- ÔÚÏß: 2074.9Сʱ
- ³æºÅ: 0
- ×¢²á: 2012-05-12
- ÐÔ±ð: GG
- רҵ: Á÷ÌåÁ¦Ñ§
¡ï ¡ï
¸Ðл²ÎÓ룬ӦÖúÖ¸Êý +1
zhangguangping: ½ð±Ò+1, лл½¨Ò飡 2012-06-08 21:39:56
phs100: ½ð±Ò+1, ¡ïÓаïÖú 2012-06-17 10:43:53
¸Ðл²ÎÓ룬ӦÖúÖ¸Êý +1
zhangguangping: ½ð±Ò+1, лл½¨Ò飡 2012-06-08 21:39:56
phs100: ½ð±Ò+1, ¡ïÓаïÖú 2012-06-17 10:43:53
5Â¥2012-06-06 08:33:26
zÂÜÀò
Òø³æ (СÓÐÃûÆø)
- Ó¦Öú: 12 (СѧÉú)
- ½ð±Ò: 825.7
- ºì»¨: 4
- Ìû×Ó: 72
- ÔÚÏß: 125.8Сʱ
- ³æºÅ: 1615342
- ×¢²á: 2012-02-13
- ÐÔ±ð: MM
- רҵ: ÎÞ»ú·Ç½ðÊô»ù¸´ºÏ²ÄÁÏ
¡¾´ð°¸¡¿Ó¦Öú»ØÌû
¡ï ¡ï ¡ï ¡ï
fegg7502: ½ð±Ò+4, 3ks 2012-06-09 20:21:14
fegg7502: ½ð±Ò+4, 3ks 2012-06-09 20:21:14
| ÿ¸öʱ¼äµãµÄŨ¶ÈÄã¶¼Äܲâ³öÀ´ÂÊDz»ÊÇkºÍn¶¼²»ÖªµÀÏÖÔÚÒªÄâºÏ³öÕâÁ½¸öÖµ£¿Èç¹ûÊǵϰmatlabÓ÷ÇÏßÐÔ×îС¶þ³ËÄâºÏº¯Êýlsqcurvefit()ºÜÈÝÒ׾ͽâ¾öÁË¡£ |

9Â¥2012-06-09 16:28:36
lcb411
½ð³æ (СÓÐÃûÆø)
- Ó¦Öú: 8 (Ó×¶ùÔ°)
- ½ð±Ò: 1929.7
- É¢½ð: 30
- ºì»¨: 1
- Ìû×Ó: 220
- ÔÚÏß: 149.4Сʱ
- ³æºÅ: 150882
- ×¢²á: 2005-12-29
- ÐÔ±ð: GG
- רҵ: »·¾³»¯¹¤
2Â¥2012-06-05 19:25:13
phs100
½ð³æ (СÓÐÃûÆø)
- Ó¦Öú: 0 (Ó×¶ùÔ°)
- ½ð±Ò: 603
- É¢½ð: 40
- Ìû×Ó: 154
- ÔÚÏß: 164Сʱ
- ³æºÅ: 933218
- ×¢²á: 2009-12-25
- ÐÔ±ð: GG
- רҵ: ÎÞ»ú²ÄÁÏ»¯Ñ§
3Â¥2012-06-05 22:30:21
phs100
½ð³æ (СÓÐÃûÆø)
- Ó¦Öú: 0 (Ó×¶ùÔ°)
- ½ð±Ò: 603
- É¢½ð: 40
- Ìû×Ó: 154
- ÔÚÏß: 164Сʱ
- ³æºÅ: 933218
- ×¢²á: 2009-12-25
- ÐÔ±ð: GG
- רҵ: ÎÞ»ú²ÄÁÏ»¯Ñ§
4Â¥2012-06-05 22:33:02
Áù±¾Ä¾
гæ (СÓÐÃûÆø)
- Ó¦Öú: 16 (СѧÉú)
- ½ð±Ò: 3002.6
- ºì»¨: 4
- Ìû×Ó: 287
- ÔÚÏß: 95.8Сʱ
- ³æºÅ: 676486
- ×¢²á: 2008-12-17
- רҵ: ´«µÝ¹ý³Ì
6Â¥2012-06-06 16:49:39
lcb411
½ð³æ (СÓÐÃûÆø)
- Ó¦Öú: 8 (Ó×¶ùÔ°)
- ½ð±Ò: 1929.7
- É¢½ð: 30
- ºì»¨: 1
- Ìû×Ó: 220
- ÔÚÏß: 149.4Сʱ
- ³æºÅ: 150882
- ×¢²á: 2005-12-29
- ÐÔ±ð: GG
- רҵ: »·¾³»¯¹¤
7Â¥2012-06-07 20:14:04
nancyhyx
ľ³æ (СÓÐÃûÆø)
- Ó¦Öú: 0 (Ó×¶ùÔ°)
- ½ð±Ò: 1727.1
- É¢½ð: 100
- Ìû×Ó: 145
- ÔÚÏß: 127.6Сʱ
- ³æºÅ: 542005
- ×¢²á: 2008-04-08
- ÐÔ±ð: MM
- רҵ: µç»¯Ñ§·ÖÎö
8Â¥2012-06-08 10:30:10
nancyhyx
ľ³æ (СÓÐÃûÆø)
- Ó¦Öú: 0 (Ó×¶ùÔ°)
- ½ð±Ò: 1727.1
- É¢½ð: 100
- Ìû×Ó: 145
- ÔÚÏß: 127.6Сʱ
- ³æºÅ: 542005
- ×¢²á: 2008-04-08
- ÐÔ±ð: MM
- רҵ: µç»¯Ñ§·ÖÎö
10Â¥2012-06-12 16:56:56













»Ø¸´´ËÂ¥


20