²é¿´: 1013  |  »Ø¸´: 3

mafeng0907

¾èÖú¹ó±ö (³õÈëÎÄ̳)


[½»Á÷] ×Ô¶¨ÒåÊäÔË·½³ÌÔ´ÏîµÄ´¦Àí

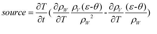
ÎÒÖªµÀÔÚÊýÖµ¼ÆËãʱ£¬ÐèÒª¶Ô×Ô¶¨ÒåÊäÔË·½³ÌÔÚʱ¼äºÍÌå»ýÉÏ»ý·Ö£¬µ«ÊÇÎÒ²»ÖªµÀfluentÖеÄ×Ô¶¨ÒåÊäÔË·½³ÌµÄÔ´ÏîÔÚдÈëudfÖÐʱÊÇÔõô´¦ÀíµÄ£¬²»×ö´¦ÀíÖ±½ÓдÈëudfÖÐÈ¥£¬»¹ÊÇÏÖÔÚʱ¼ä»òÌå»ýÉÏ»ý·Ö£¬ÔÙ½«»ý·ÖºóµÄÔ´ÏîдÈëudfÖÐÄØ£¿

»Ø¸´´ËÂ¥

» ²ÂÄãϲ»¶

» ±¾Ö÷ÌâÏà¹Ø¼ÛÖµÌùÍÆ¼ö£¬¶ÔÄúͬÑùÓаïÖú:

» ÇÀ½ð±ÒÀ²£¡»ØÌû¾Í¿ÉÒԵõ½:

²é¿´È«²¿É¢½ðÌù

ÒÑÔÄ   »Ø¸´´ËÂ¥   ¹Ø×¢TA ¸øTA·¢ÏûÏ¢ ËÍTAºì»¨ TAµÄ»ØÌû

yssy_123

½ð³æ (ÕýʽдÊÖ)


¡ï ¡ï
mafeng0907(½ð±Ò+1): лл²ÎÓë
xiegangmai: ½ð±Ò+1, лл²ÎÓ룡 2012-06-05 22:53:26
½¨Òé½øÐÐÒ»ÏÂÁ¿¸Ù·ÖÎö
3Â¥2012-06-05 21:43:55
ÒÑÔÄ   »Ø¸´´ËÂ¥   ¹Ø×¢TA ¸øTA·¢ÏûÏ¢ ËÍTAºì»¨ TAµÄ»ØÌû

Richard_PU

Òø³æ (СÓÐÃûÆø)


¡ï ¡ï ¡ï
mafeng0907(½ð±Ò+1): лл²ÎÓë
xiegangmai: ½ð±Ò+2, ¹ÄÀøÌÖÂÛ½»Á÷£¡ 2012-06-08 23:52:32
ÎÒÈÏΪӦ¸Ã²»×÷´¦Àí°É£¬fluentÊǶÔÓÚÿ¸öÍø¸ñµ¥¶À²Ù×÷µÄ£¬×îºÃ°Ñ·½³ÌÍÆµ½Çå³þÁË£¬È»ºó¿´Ò»Ï£¬Ô´Ïî¶ÔÓ¦µÄÄǸö²¿·ÖÐè²»ÐèÒª»¹½øÐлý·Ö
4Â¥2012-06-08 10:09:18
ÒÑÔÄ   »Ø¸´´ËÂ¥   ¹Ø×¢TA ¸øTA·¢ÏûÏ¢ ËÍTAºì»¨ TAµÄ»ØÌû
¼òµ¥»Ø¸´
2012-06-05 11:45   »Ø¸´  
mafeng0907(½ð±Ò+1): лл²ÎÓë
³ôË®¹µ: ½ð±Ò-2, ×¨ÒµÇø£¬ÇëÎð¹àË®£¬¹ÄÀø´ó¼Ò»ý¼«½»Á÷~~ 2012-06-05 21:40:40
Ïà¹Ø°æ¿éÌø×ª ÎÒÒª¶©ÔÄÂ¥Ö÷ mafeng0907 µÄÖ÷Ìâ¸üÐÂ
×î¾ßÈËÆøÈÈÌûÍÆ¼ö [²é¿´È«²¿] ×÷Õß »Ø/¿´ ×îºó·¢±í
[¿¼ÑÐ] 08¹¤¿Æ 320×Ü·Ö Çóµ÷¼Á +11 À滨çóÍí·ç 2026-03-17 11/550 2026-03-22 17:42 by luoyongfeng
[¿¼ÑÐ] Çóµ÷¼ÁԺУÐÅÏ¢ +6 CX 330 2026-03-21 6/300 2026-03-22 15:25 by ÎÞи¿É»÷111
[¿¼ÑÐ] Ò»Ö¾Ô¸±±¾©»¯¹¤´óѧ070300 ѧ˶336Çóµ÷¼Á +5 vvÃÔ 2026-03-21 8/400 2026-03-22 14:20 by ColorlessPI
[¿¼ÑÐ] 0856²ÄÁÏר˶353Çóµ÷¼Á +4 NIFFFfff 2026-03-20 4/200 2026-03-22 09:49 by 2026paper
[¿¼ÑÐ] 286·ÖÈ˹¤ÖÇÄÜרҵÇëÇóµ÷¼ÁÔ¸Òâ¿ç¿¼£¡ +4 lemonzzn 2026-03-17 8/400 2026-03-21 22:49 by lemonzzn
[¿¼ÑÐ] 297Çóµ÷¼Á +11 Ï·¾«µ¤µ¤µ¤ 2026-03-17 12/600 2026-03-21 17:47 by ColorlessPI
[¿¼ÑÐ] 265Çóµ÷¼Á +12 ÁºÁºÐ£Ð£ 2026-03-19 14/700 2026-03-21 13:38 by lature00
[¿¼ÑÐ] 22 350 ±¾¿Æ985Çóµ÷¼Á£¬ÇóÀϵÇÊÕÁô +3 ÀîéóÄÐ003 2026-03-20 3/150 2026-03-21 13:28 by ²«»÷518
[¿¼ÑÐ] 070300»¯Ñ§319Çóµ÷¼Á +7 ½õÀð0909 2026-03-17 7/350 2026-03-21 03:46 by JourneyLucky
[¿¼ÑÐ] 271²ÄÁϹ¤³ÌÇóµ÷¼Á +8 .6lL 2026-03-18 8/400 2026-03-21 00:58 by JourneyLucky
[¿¼ÑÐ] Ò»Ö¾Ô¸Äϲý´óѧ£¬327·Ö£¬²ÄÁÏÓ뻯¹¤085600 +9 Ncdx123456 2026-03-19 9/450 2026-03-20 23:41 by lovewei0727
[¿¼ÑÐ] 085600²ÄÁÏÓ뻯¹¤ +8 °²È«Éϰ¶£¡ 2026-03-16 8/400 2026-03-20 22:13 by luoyongfeng
[¿¼ÑÐ] ÖÐÄÏ´óѧ»¯Ñ§Ñ§Ë¶337Çóµ÷¼Á +3 niko- 2026-03-19 6/300 2026-03-20 21:58 by luoyongfeng
[¿¼ÑÐ] Ò»Ö¾Ô¸¼ªÁÖ´óѧ²ÄÁÏѧ˶321Çóµ÷¼Á +11 Ymlll 2026-03-18 15/750 2026-03-20 19:40 by ¶¡¶¡*
[¿¼ÑÐ] Ò»Ö¾Ô¸ÄÏÀí¹¤085701»·¾³302Çóµ÷¼ÁԺУ +3 ¿ûè÷ÎÀ¶Ó 2026-03-20 3/150 2026-03-20 19:28 by zhukairuo
[¿¼ÑÐ] ¹¤¿Æ²ÄÁÏ085601 279Çóµ÷¼Á +7 À§ÓÚÐdz¿ 2026-03-17 9/450 2026-03-20 17:38 by ÎÞи¿É»÷111
[¿¼ÑÐ] 0856µ÷¼Á£¬ÊÇѧУ¾ÍÈ¥ +8 sllhht 2026-03-19 9/450 2026-03-20 14:25 by ÎÞи¿É»÷111
[¿¼ÑÐ] Çóµ÷¼Á +3 °µÓ¿afhb 2026-03-16 3/150 2026-03-20 00:28 by ºÓÄÏ´óѧУÓÑ
[¿¼ÑÐ] 328Çóµ÷¼Á£¬Ó¢ÓïÁù¼¶551£¬ÓпÆÑо­Àú +4 ÉúÎ﹤³Ìµ÷¼Á 2026-03-16 12/600 2026-03-19 11:10 by ÉúÎ﹤³Ìµ÷¼Á
[¿¼ÑÐ] 334Çóµ÷¼Á +3 Ö¾´æ¸ßÔ¶ÒâÔÚ»úÐ 2026-03-16 3/150 2026-03-18 08:34 by lm4875102
ÐÅÏ¢Ìáʾ
ÇëÌî´¦ÀíÒâ¼û