| ²é¿´: 619 | »Ø¸´: 2 | ||
yy-6133312гæ (³õÈëÎÄ̳)
|
[ÇóÖú]
ÐÂÊÖÇóÖú ¹ØÓÚmatlab·ÂÕæ¼ÆËãµÄÎÊÌâ
|
|
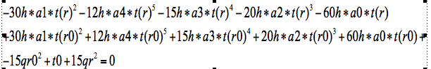
ÆäÖÐh£½0.0003,r0=0.005,t0=20,q=100,a0=25.15,a1=0.16,a2=6.996e-004,a3=3.06e-006,a4=1.34e-008,r=0:0.0002:0.005,ÇótrºÍrµÄÇúÏßͼ Çó´óÉñ°ïæ |
» ²ÂÄãϲ»¶
317Çóµ÷¼Á
ÒѾÓÐ6È˻ظ´
304Çóµ÷¼Á
ÒѾÓÐ4È˻ظ´
085700×ÊÔ´Óë»·¾³308Çóµ÷¼Á
ÒѾÓÐ7È˻ظ´
265Çóµ÷¼Á
ÒѾÓÐ5È˻ظ´
279·ÖÇóµ÷¼Á Ò»Ö¾Ô¸211
ÒѾÓÐ3È˻ظ´
Çóµ÷¼Á
ÒѾÓÐ3È˻ظ´
Ò»Ö¾Ô¸¼ªÁÖ´óѧ²ÄÁÏѧ˶321Çóµ÷¼Á
ÒѾÓÐ12È˻ظ´
286·ÖÈ˹¤ÖÇÄÜרҵÇëÇóµ÷¼ÁÔ¸Òâ¿ç¿¼£¡
ÒѾÓÐ3È˻ظ´
329Çóµ÷¼Á
ÒѾÓÐ5È˻ظ´
ÉêÇë»Ø¸åÑÓÆÚÒ»¸öÔ£¬±à¼Í¬ÒâÁË¡£µ«ÏµÍ³ÉϵÄʱ¼äû±ä£¬¸ø±à¼ÓÖдÓʼþÁË£¬Ã»»Ø¸´
ÒѾÓÐ4È˻ظ´
» ±¾Ö÷ÌâÏà¹Ø¼ÛÖµÌùÍÆ¼ö£¬¶ÔÄúͬÑùÓаïÖú:
´¿ÐÂÊÖ£¬È«·½ÃæÇóÖú¹ØÓÚMATLAB........
ÒѾÓÐ9È˻ظ´
ÇóÖú matlab½»µãÎÊÌâ
ÒѾÓÐ19È˻ظ´
ÇóÖúmatlabÎÊÌâ
ÒѾÓÐ5È˻ظ´
ÇóÖúÓйØMatlabÓÐÔ¼Êø·ÇÏßÐÔ×îÓÅ»¯ÎÊÌâ
ÒѾÓÐ9È˻ظ´
MatlabÖÐRBF½¨Ä££¬·ÂÕæÊÇÓöµ½µÄÎÊÌâ
ÒѾÓÐ6È˻ظ´
ÇóÖúmatlab-simulinkÔËÐÐʱ±¨´íÎÊÌâ
ÒѾÓÐ3È˻ظ´
¡¾ÇóÖú¡¿ÈõÈõµÄÎÊÒ»ÏÂMatlabÊý¾ÝÌáÈ¡µÄÎÊÌâ
ÒѾÓÐ5È˻ظ´
¡¾ÇóÖú¡¿matlab »ý·ÖµÄÎÊÌâ
ÒѾÓÐ5È˻ظ´
¡¾ÇóÖú¡¿ÎÊÒ»¸ö¹ØÓÚmatlabÖÐlegendµÄÎÊÌâ
ÒѾÓÐ11È˻ظ´
¡¾ÇóÖú¡¿Çë½ÌMatlab¸ßÊÖ¸ù¾Ý»ý·Ö»Í¼ÎÊÌâ
ÒѾÓÐ4È˻ظ´
¡¾ÇóÖú¡¿Ê¹ÓÃMatlabÔ¤¹À¶¯Á¦Ñ§·½³ÌÎÊÌâ
ÒѾÓÐ13È˻ظ´
yy-6133312
гæ (³õÈëÎÄ̳)
- Ó¦Öú: 0 (Ó×¶ùÔ°)
- ½ð±Ò: 9.5
- Ìû×Ó: 7
- ÔÚÏß: 58·ÖÖÓ
- ³æºÅ: 1846527
- ×¢²á: 2012-06-04
- רҵ: ÊýÂÛ
|
h=0.0003;r0=0.005;a0=25.15;a1=0.16;a2=6.996e-004;a3=3.06e-006;a4=1.34e-008;tr0=20;q=100; f=@(r,tr)-30*h*a1*tr^2-12*h*a4*tr^5-15*h*a3*tr^4-20*h*a2*tr^3-60*h*a0*tr+30*h*a1*tr0^2+12*h*a4*tr0^5+15*h*a3*tr0^4+20*h*a2*tr0^3+60*h*a0*tr0-15*q*r0*r0+15*q*r*r; ezplot(f) ΪʲôÎÒÕâÑù±àÁËÒÔºóûͼÐΣ¿ Çó´óÉñ½âÊÍ |
2Â¥2012-06-09 23:33:14
ivancen
½ð³æ (ÕýʽдÊÖ)
- Ó¦Öú: 0 (Ó×¶ùÔ°)
- ½ð±Ò: 1059.2
- Ìû×Ó: 513
- ÔÚÏß: 50.6Сʱ
- ³æºÅ: 421435
- ×¢²á: 2007-07-14
- ÐÔ±ð: GG
- רҵ: ²ÄÁÏ/´ß»¯¼Á
¡ï
xiegangmai: ½ð±Ò+1, лл²ÎÓ룡 2012-06-10 23:23:52
xiegangmai: ½ð±Ò+1, лл²ÎÓ룡 2012-06-10 23:23:52
| ¸øÄúÒ»¸öÍøÖ·http://www.ilovematlab.cn/forum.php |

3Â¥2012-06-10 19:31:12













»Ø¸´´ËÂ¥