| 查看: 449 | 回复: 0 | ||
[求助]
SnO2载流子
|
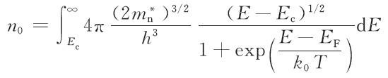
怎么求SnO2的载流子浓度,假设有效质量已经求出,按照公式如下是,Ec是导带底能量,可是我们算有效质量的时候不是有正有负么 我算SnO2的时候是对价带顶二阶导数,是负值,那算载流子的时候也可以用这个公式么,还是这个公式有变化,不知道我有没有说清楚![]() |
» 猜你喜欢
295求调剂
已经有3人回复
一志愿C9的化学工程(085602) 340分,感觉校内调剂无望,求调剂
已经有9人回复
070300化学求调剂
已经有16人回复
363求调剂
已经有4人回复
283分求调剂
已经有3人回复
材料化工306分找合适调剂
已经有7人回复
一志愿北京化工085600 310分求调剂
已经有4人回复
292求调剂
已经有9人回复
调剂
已经有4人回复
一志愿9材料学硕297已过六级求调剂推荐
已经有5人回复















回复此楼