| 查看: 720 | 回复: 1 | |
lbing9002木虫 (正式写手)
|
[求助]
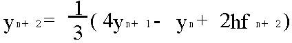
求二阶吉尔法的绝对稳定区域的计算过程
|
![]() |
|
|
|
|
lbing9002木虫 (正式写手)
|
|
![]() |
|
|
2楼2012-06-02 10:21:49
|
|














回复此楼