| 查看: 2675 | 回复: 27 | |||
| 当前只显示满足指定条件的回帖,点击这里查看本话题的所有回帖 | |||
kakabala新虫 (正式写手)
|
[交流]
DSC分析:请问这是玻璃化温度吗? 已有16人参与
|
||
|
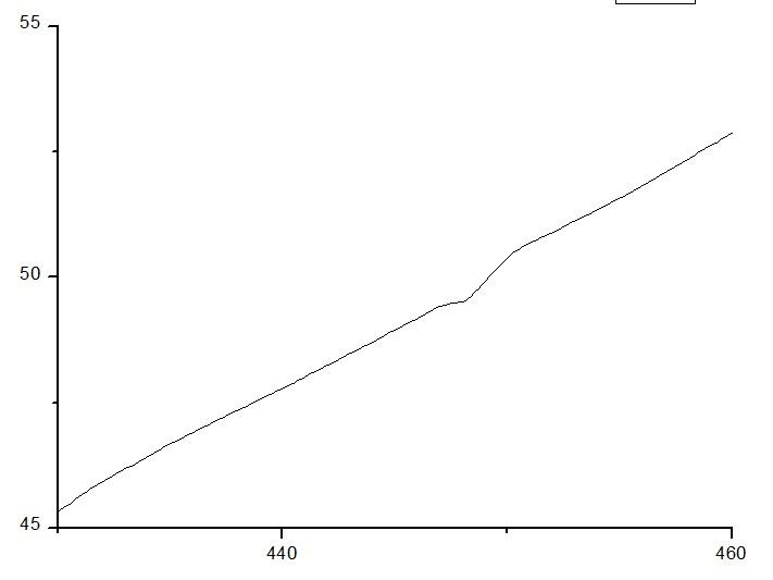
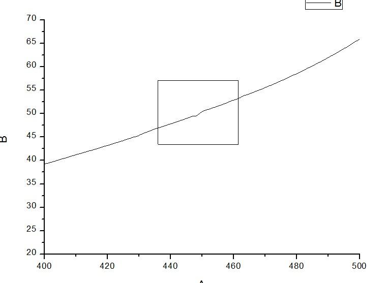
如题,其他位置不太有台儿的样子,DSC测试:10°/min,50-500℃,升温—降温—升温,速率不变,两张图是一样的。 我们这里做不了300℃以上的DMA,预计玻璃化温度应该在400°左右,或是更高。 请高手指点啦~~~ |
» 猜你喜欢
职称评审没过,求安慰
已经有49人回复
26申博自荐
已经有3人回复
A期刊撤稿
已经有4人回复
垃圾破二本职称评审标准
已经有17人回复
投稿Elsevier的Neoplasia杂志,到最后选publishing options时页面空白,不能完成投稿
已经有22人回复
EST投稿状态问题
已经有7人回复
毕业后当辅导员了,天天各种学生超烦
已经有4人回复
三无产品还有机会吗
已经有6人回复
jay1943jay
禁虫 (正式写手)
★
小木虫: 金币+0.5, 给个红包,谢谢回帖
小木虫: 金币+0.5, 给个红包,谢谢回帖
|
本帖内容被屏蔽 |
23楼2012-06-01 13:15:11
Pureland
木虫之王 (知名作家)
- PEPI: 67
- 应助: 1516 (讲师)
- 贵宾: 0.015
- 金币: 135535
- 散金: 3502
- 红花: 723
- 帖子: 6479
- 在线: 2896.4小时
- 虫号: 693216
- 注册: 2009-01-16
- 专业: 应用高分子化学与物理
2楼2012-05-29 12:06:47
kakabala
新虫 (正式写手)
- 应助: 8 (幼儿园)
- 金币: 1645.8
- 散金: 38
- 红花: 8
- 帖子: 702
- 在线: 141.1小时
- 虫号: 1167328
- 注册: 2010-12-11
- 性别: MM
- 专业: 高分子合成化学
3楼2012-05-29 14:10:33
0245021065
金虫 (小有名气)
- 应助: 0 (幼儿园)
- 金币: 702
- 帖子: 111
- 在线: 33.4小时
- 虫号: 294742
- 注册: 2006-11-11
- 性别: GG
- 专业: 应用高分子化学与物理
4楼2012-05-29 16:52:03













回复此楼