| ²é¿´: 1761 | »Ø¸´: 8 | |||||
darewin½ð³æ (СÓÐÃûÆø)
|
[ÇóÖú]
¹ØÓÚÖØ½ðÊôÎü¸½µÄ¼¸¸öÎÊÌâ~Çó½â
|
||||
|
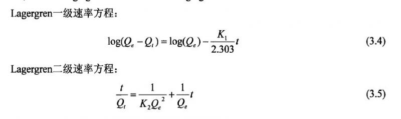
1.ʵÑéÊý¾Ý³öÀ´ºó·¢ÏÖÎü¸½ÈÝÁ¿Ëæ×ųõʼŨ¶ÈÉÏÉý¼¸ºõÊÇÖ±ÏßÔö¼Ó£¬Æ½ºâŨ¶È±ä»¯²»´ó£¬µÈÎÂÏ߾͸ü²»¿¿Æ×ÁË£¡£¡ÕâÊDz»ÊdzõʼŨ¶ÈÑ¡µÄÌ«µÍÁË£¡Ó÷ÐʯÎü¸½µÄ£¡ 2.Îü¸½ÐÔÄÜÊÔÑéÐè²»ÐèÒª×öÕý½»ÊÔÑ飿ÓбØÒªÂð 3.lagergrenÒ»¼¶ËÙÂÊ·½³ÌÖÐQe£¨Æ½ºâÎü¸½Å¨¶È£©ÊÇÔõôµÃÀ´µÄ£¨ÒªËãLog£¨Qe-Qt£©µÄ£©£¬»¹ÓжÔÓÚÕâËÙÂÊ·½³ÌÄܲ»ÄܸøÏêϸ½éÉÜÏ£¬»òÊǸø¼¸±¾ÊéÑо¿Ï°ɣ¡ лл~£¡£¡ |
» ÊÕ¼±¾ÌûµÄÌÔÌûר¼ÍƼö
Îü¸½ | Biosorption | ²ÄÁÏÎü¸½Ñо¿ |
» ²ÂÄãϲ»¶
ÕҺù¤×÷À´ÎÒÕâ-¹ã¶«Î¨Ò»Ê¯»¯ÔºÐ£¡ª¡ª×ÊÔ´Óë»·¾³×¨Ë¶ÕÐÉú
ÒѾÓÐ5È˻ظ´
¹ã¶«¹¤Òµ´óѧ»·¾³¿ÆÑ§Ó빤³ÌѧԺÕÐÊÕ˶ʿµ÷¼Á
ÒѾÓÐ0È˻ظ´
»·¾³»¯Ñ§ÂÛÎÄÈóÉ«/·ÒëÔõôÊÕ·Ñ?
ÒѾÓÐ228È˻ظ´
Î人¹¤³Ì´óѧ»¯Ñ§Óë»·¾³¹¤³ÌѧԺ2026Äê˶ʿÑо¿Éúµ÷¼Á¹«¸æ
ÒѾÓÐ7È˻ظ´
Çóµ÷¼Á£¬»·¾³¹¤³Ì£¬326£¬ÈÕÓï
ÒѾÓÐ1È˻ظ´
ÕÐÊÕ»¯Ñ§¹¤³Ì¼°»¯Ñ§¹¤³ÌÓë¼¼Êõרҵµ÷¼ÁÉú
ÒѾÓÐ0È˻ظ´
ÕÐÊÕ»¯Ñ§¹¤³Ì¼°»¯Ñ§¹¤³ÌÓë¼¼Êõרҵµ÷¼ÁÉú
ÒѾÓÐ0È˻ظ´
¸£½¨Àí¹¤´óѧÕÐÊÕ¼ÆËã»úÄ£Äâ¡¢»·¾³Ïà¹Ø×¨Òµµ÷¼ÁÉú
ÒѾÓÐ0È˻ظ´
ÕҺù¤×÷À´ÎÒÕâ-¹ã¶«Î¨Ò»Ê¯»¯ÔºÐ£¡ª¡ª×ÊÔ´Óë»·¾³×¨Ë¶ÕÐÉú
ÒѾÓÐ6È˻ظ´
ÕҺù¤×÷À´ÎÒÕâ-¹ã¶«Î¨Ò»Ê¯»¯ÔºÐ£¡ª¡ª×ÊÔ´Óë»·¾³×¨Ë¶ÕÐÉú
ÒѾÓÐ6È˻ظ´
ÉòÑô¹¤Òµ´óѧ»·¾³Ó뻯ѧ¹¤³ÌѧԺ »·¾³¿ÆÑ§Ó빤³Ì£¨083000£©Ñ§Ë¶ ÈÔÓе÷¼ÁÃû¶î£¡
ÒѾÓÐ12È˻ظ´
» ±¾Ö÷ÌâÏà¹Ø¼ÛÖµÌùÍÆ¼ö£¬¶ÔÄúͬÑùÓаïÖú:
ÎÛÄàÖØ½ðÊôÎü¸½
ÒѾÓÐ10È˻ظ´
ÉúÎïÖÊÎü¸½¼ÁÎü¸½ÖؽðÊôÀë×Óºó£¬Ó¦¸ÃÔõô´¦Àí£¿
ÒѾÓÐ17È˻ظ´
¶ÔÖØ½ðÊôÎü¸½µÄÎÊÌâ
ÒѾÓÐ26È˻ظ´
¹ØÓÚÎü¸½ÊÔÑéµÄÎÊÌâ
ÒѾÓÐ32È˻ظ´
»îÐÔÌ¿Îü¸½ÖؽðÊô¶¯Á¦Ñ§Ñо¿ÎÊÌâ
ÒѾÓÐ13È˻ظ´
¡¾ÇóÖú¡¿×öÖØ½ðÊôÎü¸½ÊµÑéÈçºÎ±£»¤×Ô¼º
ÒѾÓÐ6È˻ظ´
¡¾ÇóÖú¡¿ÖؽðÊôÎü¸½ÎÊÌâ
ÒѾÓÐ17È˻ظ´
¡¾ÇóÖú¡¿ÃÉÍÑÍÁÎü¸½ÖؽðÊôÀë×ÓÊÇÎïÀíÎü¸½»¹ÊÇ»¯Ñ§Îü¸½£¿
ÒѾÓÐ12È˻ظ´
¡¾·ÖÏí¡¿Ë®ÖÐÖØ½ðÊôµÄÎü¸½×ÛÊö·ÖÏí£¨ÎÒ¿´ÁËÖ®ºóµÄ¸ÐÊÜ£©
ÒѾÓÐ22È˻ظ´
darewin
½ð³æ (СÓÐÃûÆø)
- Ó¦Öú: 2 (Ó×¶ùÔ°)
- ½ð±Ò: 925.3
- Ìû×Ó: 61
- ÔÚÏß: 20Сʱ
- ³æºÅ: 1694344
- ×¢²á: 2012-03-15
- ÐÔ±ð: GG
- רҵ: »·¾³ÎÛȾ»¯Ñ§
9Â¥2012-05-23 23:00:18
fayfeifei
Ìú¸Ëľ³æ (ÖøÃûдÊÖ)
- EEPI: 11
- Ó¦Öú: 291 (´óѧÉú)
- ¹ó±ö: 0.106
- ½ð±Ò: 8934.4
- É¢½ð: 274
- ºì»¨: 23
- Ìû×Ó: 1220
- ÔÚÏß: 188.7Сʱ
- ³æºÅ: 1303370
- ×¢²á: 2011-05-23
- ÐÔ±ð: MM
- רҵ: »·¾³ÎÛȾ»¯Ñ§

2Â¥2012-05-21 22:46:30
xiaoqm14
½ð³æ (СÓÐÃûÆø)
- Ó¦Öú: 26 (СѧÉú)
- ½ð±Ò: 1050.4
- Ìû×Ó: 93
- ÔÚÏß: 14.9Сʱ
- ³æºÅ: 810382
- ×¢²á: 2009-07-16
- ÐÔ±ð: GG
- רҵ: »·¾³»¯¹¤
¡¾´ð°¸¡¿Ó¦Öú»ØÌû
¡ï
¸Ðл²ÎÓ룬ӦÖúÖ¸Êý +1
ymnh: ½ð±Ò+1, лл²ÎÓë½»Á÷£¬»¶Ó³£À´»·¾³°æ 2012-05-22 21:52:17
¸Ðл²ÎÓ룬ӦÖúÖ¸Êý +1
ymnh: ½ð±Ò+1, лл²ÎÓë½»Á÷£¬»¶Ó³£À´»·¾³°æ 2012-05-22 21:52:17
|
1. ºÜÓпÉÄܸúÄãµÄ³õʼŨ¶ÈÓйأ¬½¨ÒéÄãŨ¶È¼ä¸ôÒª´ó£» 2. Îü¸½ÐÔÄÜÊÔÑé²»ÐèÒª×öÕý½»ÊÔÑ飬µ¥ÒòËØ¾ÍºÃÁË£» 3. lagergrenÒ»¼¶ËÙÂÊ·½³ÌÖÐQeÊÇÄãµÄ¶¯Á¦Ñ§ÇúÏßÖÐ×îÖÕÇ÷ÓÚÖ±ÏßµÄÄǸöÊýÖµ£¬½¨ÒéÄãÈ¥¿´ÏÂÎïÀí»¯Ñ§ÀïÃæÓн²µ½Õâ¸ö¡£ |
3Â¥2012-05-22 14:13:42
darewin
½ð³æ (СÓÐÃûÆø)
- Ó¦Öú: 2 (Ó×¶ùÔ°)
- ½ð±Ò: 925.3
- Ìû×Ó: 61
- ÔÚÏß: 20Сʱ
- ³æºÅ: 1694344
- ×¢²á: 2012-03-15
- ÐÔ±ð: GG
- רҵ: »·¾³ÎÛȾ»¯Ñ§
4Â¥2012-05-22 21:40:58
superboss007
Ìú³æ (³õÈëÎÄ̳)
- Ó¦Öú: 5 (Ó×¶ùÔ°)
- ½ð±Ò: 79
- Ìû×Ó: 30
- ÔÚÏß: 11.4Сʱ
- ³æºÅ: 1775846
- ×¢²á: 2012-04-24
- ÐÔ±ð: GG
- רҵ: »·¾³¹¤³Ì
¡¾´ð°¸¡¿Ó¦Öú»ØÌû
¡ï
¸Ðл²ÎÓ룬ӦÖúÖ¸Êý +1
ymnh: ½ð±Ò+1, лл²ÎÓë½»Á÷£¬»¶Ó³£À´»·¾³°æ 2012-05-22 23:41:23
¸Ðл²ÎÓ룬ӦÖúÖ¸Êý +1
ymnh: ½ð±Ò+1, лл²ÎÓë½»Á÷£¬»¶Ó³£À´»·¾³°æ 2012-05-22 23:41:23
|
×î½üÎÒÒ²ÔÚ×ö¹ØÓÚÖØ½ðÊôʵÑéµÄÊÔÑ飬ÎÒÓõÄÊÇÊ÷Ö¬¡£½áºÏÎÒ×Ô¼ºµÄÊÔÑ飬ÎÒ¾õµÃÄã¿ÉÒÔ´ÓÒÔϼ¸¸ö·½ÃæÈ¥¿¼ÂÇÏ£º 1¡¢³õʼŨ¶È£¬Å¨¶ÈÌ«µÍµÄ»°£¬ºÜÄÑ×ö¶¯Á¦Ñ§µÄ£» 2¡¢ÊµÑé¹ý³ÌÖбäÁ¿µÄ¿ØÖÆ£¬Õâ¸öÉæ¼°µ½ÄãÊÔÑéµÄÉè¼Æ·½·¨ÎÊÌ⣻±ÈÈç˵ÄãÈ¡ÑùµÄʱ¼ä¼ä¸ô£¬´ÎÊý£¬È¡ÑùµÄÌå»ýµÈ£» 3¡¢ÖؽðÊôŨ¶ÈµÄ²â¶¨·½·¨¡£ÒòΪÄãµÄŨ¶È±È½ÏµÍ£¬¿ÉÄÜÒÇÆ÷µÄ¼ì³öÏÞÒѾ¸ßÓÚÄãÒªÇóµÄŨ¶È£¬µ¼Ö²â³öÀ´µÄÊý¾Ý²»×¼¡£ |

5Â¥2012-05-22 23:36:10
superboss007
Ìú³æ (³õÈëÎÄ̳)
- Ó¦Öú: 5 (Ó×¶ùÔ°)
- ½ð±Ò: 79
- Ìû×Ó: 30
- ÔÚÏß: 11.4Сʱ
- ³æºÅ: 1775846
- ×¢²á: 2012-04-24
- ÐÔ±ð: GG
- רҵ: »·¾³¹¤³Ì

6Â¥2012-05-22 23:37:11
xiaoqm14
½ð³æ (СÓÐÃûÆø)
- Ó¦Öú: 26 (СѧÉú)
- ½ð±Ò: 1050.4
- Ìû×Ó: 93
- ÔÚÏß: 14.9Сʱ
- ³æºÅ: 810382
- ×¢²á: 2009-07-16
- ÐÔ±ð: GG
- רҵ: »·¾³»¯¹¤
7Â¥2012-05-23 08:48:20
darewin
½ð³æ (СÓÐÃûÆø)
- Ó¦Öú: 2 (Ó×¶ùÔ°)
- ½ð±Ò: 925.3
- Ìû×Ó: 61
- ÔÚÏß: 20Сʱ
- ³æºÅ: 1694344
- ×¢²á: 2012-03-15
- ÐÔ±ð: GG
- רҵ: »·¾³ÎÛȾ»¯Ñ§
8Â¥2012-05-23 21:56:42













»Ø¸´´ËÂ¥