| 查看: 528 | 回复: 0 | ||
[交流]
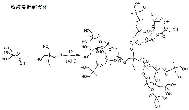
UV固化粉末涂料用超支化树脂的研究
|

找到一些相关的精华帖子,希望有用哦~
一种环氧树脂固化剂的应用
已经有6人回复
【求助】谁知道岳化巴陵石化CYD013粉末涂料用环氧树脂的固化成膜后的分解温度范围?
已经有5人回复
【求助】环氧树脂粉末涂料成膜后燃烧表面温度如何测
已经有5人回复
【求助】丙烯酸树脂中双键含量要多少才能较好的固化
已经有5人回复
【求助】邻苯二甲酸酐固化环氧树脂除泡
已经有6人回复
【求助】碳纤维环氧树脂复合材料固化问题请教
已经有17人回复
科研从小木虫开始,人人为我,我为人人













回复此楼

点击这里搜索更多相关资源