| 查看: 180 | 回复: 2 | ||
[交流]
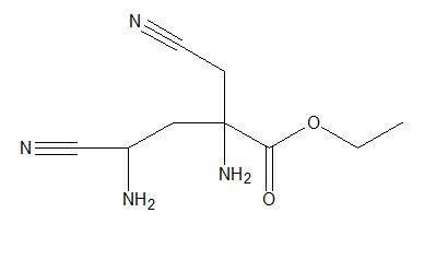
这个结构大家能帮忙查一下么
|
» 本主题相关价值贴推荐,对您同样有帮助:
请有CCDC数据库朋友帮忙查下有没有该结构的物质单晶已被发表?谢谢
已经有4人回复
怎么查一个已知结构化合物的熔点?
已经有9人回复
需要金属间化合物的晶体结构做计算用,查不到原结构,希望大家帮忙!!!谢谢
已经有4人回复
【求助】请哪位大虾帮忙查下这个单晶结构有没有报道过
已经有6人回复
【求助】帮查一下这个晶体结构
已经有4人回复
【请教】怎么知道一种物质的晶体结构
已经有8人回复
【求助】哪位好心人帮我查查该物质的单晶结构有发表没?十分感谢
已经有7人回复
【求助】请有CCDC数据库朋友帮忙查下有没有该结构的物质单晶已被发表?谢谢
已经有5人回复
【求助】质谱图库中为什么没有这个物质!
已经有21人回复
2楼2012-05-14 09:12:57
3楼2012-05-14 09:17:44













回复此楼
自己顶个