| 查看: 493 | 回复: 4 | ||
[求助]
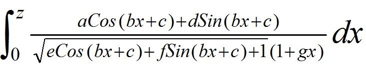
函数积分
|
||
|
|
||
|
2楼2012-04-28 20:24:15
|
|
|
|
3楼2012-04-30 16:18:19
|
|
|
醉乡常客木虫 (知名作家)
混之
|
||
![]() |
||
|
4楼2012-04-30 19:08:06
|
|
|
|
感谢参与,应助指数 +1
|
||
|
5楼2012-04-30 23:26:49
|
|














回复此楼

10