版块导航
正在加载中...
客户端APP下载
论文辅导
申博辅导
登录
注册
帖子
帖子
用户
本版
应《网络安全法》要求,自2017年10月1日起,未进行实名认证将不得使用互联网跟帖服务。为保障您的帐号能够正常使用,请尽快对帐号进行手机号验证,感谢您的理解与支持!
24小时热门版块排行榜
>
论坛更新日志
(2433)
>
虫友互识
(160)
>
导师招生
(72)
>
休闲灌水
(72)
>
论文投稿
(61)
>
博后之家
(54)
>
文献求助
(45)
>
硕博家园
(42)
>
基金申请
(35)
>
考博
(34)
>
公派出国
(25)
>
教师之家
(24)
>
考研
(17)
>
论文道贺祈福
(11)
>
找工作
(11)
>
招聘信息布告栏
(8)
小木虫论坛-学术科研互动平台
»
专业学科区
»
物理
»
谁能解释一下这个奇怪的磁学性质
8
1/1
返回列表
查看: 1196 | 回复: 7
只看楼主
@他人
存档
新回复提醒
(忽略)
收藏
在APP中查看
lw566
银虫
(小有名气)
应助: 0
(幼儿园)
金币: 140.4
散金: 7
红花: 1
帖子: 264
在线: 80.3小时
虫号: 832147
注册: 2009-08-21
性别: GG
专业: 半导体材料
[
求助
]
谁能解释一下这个奇怪的磁学性质
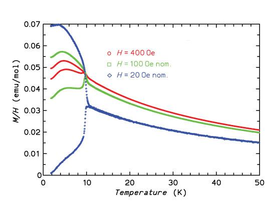
做了一个Cu化合物的磁学性能,给出这么个图,不知道为什么在低磁场下出现了分叉现象,谁能给个解释或类似现象的文献,谢谢啦
回复此楼
» 猜你喜欢
到新单位后,换了新的研究方向,没有团队,持续积累2区以上论文,能申请到面上吗
已经有6人回复
2025冷门绝学什么时候出结果
已经有7人回复
请问有评职称,把科研教学业绩算分排序的高校吗
已经有6人回复
Bioresource Technology期刊,第一次返修的时候被退回好几次了
已经有7人回复
真诚求助:手里的省社科项目结项要求主持人一篇中文核心,有什么渠道能发核心吗
已经有8人回复
寻求一种能扛住强氧化性腐蚀性的容器密封件
已经有5人回复
请问哪里可以有青B申请的本子可以借鉴一下。
已经有4人回复
请问下大家为什么这个铃木偶联几乎不反应呢
已经有5人回复
天津工业大学郑柳春团队欢迎化学化工、高分子化学或有机合成方向的博士生和硕士生加入
已经有4人回复
康复大学泰山学者周祺惠团队招收博士研究生
已经有6人回复
» 本主题相关价值贴推荐,对您同样有帮助:
奇怪的PCR产物
已经有9人回复
磁学单位换算(求助)
已经有4人回复
关于carbon nanotube的电磁学性质
已经有3人回复
计算晶体的能带谱图发现了一个很奇怪的现象
已经有9人回复
论文很奇怪的杯具了,求解释
已经有23人回复
奇怪现象(爬板)求解释
已经有28人回复
诚请高手来帮忙看一下这个奇怪的晶体结构
已经有3人回复
谁能帮我解释一下“气孔限制值”这个名词到底是什么意思
已经有3人回复
【求助】VASP算稀土永磁材料的磁学性能用哪种算法和赝势比较好?
已经有7人回复
【交流】请教电磁学高手,怎样才能把电磁场幽禁在一个纳米级别的空间内
已经有28人回复
【求助】核磁高手请看这个奇怪的谱图,有CH2=CH-结构中CH的化学位移150多,怎么回事?
已经有7人回复
【求助】磁学中的Mr/Ms比值大小说明什么???
已经有7人回复
【求助】朋友们帮我看看这个奇怪的离子色谱法测的钙离子峰
已经有10人回复
【讨论】一个奇怪的现象,大家帮忙解释下
已经有15人回复
【求助】一个奇怪的实验现象,化学高手进来帮我解释一下
已经有3人回复
1楼
2012-04-27 13:20:40
已阅
回复此楼
关注TA
给TA发消息
送TA红花
TA的回帖
slywind
新虫
(初入文坛)
应助: 1
(幼儿园)
金币: 141.5
帖子: 11
在线: 20.4小时
虫号: 1282836
注册: 2011-05-01
专业: 基础物理学
【答案】应助回帖
感谢参与,应助指数 +1
您好,我认为是正常的磁滞回现象,在外磁场很弱的时候分的越大。建议您做一个磁滞回线的测试。
赞
一下
回复此楼
2楼
2012-04-27 19:28:47
已阅
回复此楼
关注TA
给TA发消息
送TA红花
TA的回帖
slywind
新虫
(初入文坛)
应助: 1
(幼儿园)
金币: 141.5
帖子: 11
在线: 20.4小时
虫号: 1282836
注册: 2011-05-01
专业: 基础物理学
【答案】应助回帖
并且我还觉得您的这种材料的居里点在10K左右。不知道对不对?
赞
一下
回复此楼
3楼
2012-04-27 19:31:06
已阅
回复此楼
关注TA
给TA发消息
送TA红花
TA的回帖
zhangxqustc
铁虫
(正式写手)
应助: 13
(小学生)
金币: 426.7
红花: 10
帖子: 420
在线: 168.4小时
虫号: 1421081
注册: 2011-09-28
性别: GG
专业: 电化学
【答案】应助回帖
感谢参与,应助指数 +1
这是磁性测量的正常现象。分别对应场冷和零场冷,通常可能有三种原因:第一,出现了自旋玻璃态转变;第二,由于材料中多种磁性的竞争(比如说铁磁与反铁磁性的共存);据说还有:第三,由于材料的类各向异性。第四,类超顺磁性。后边的两个很少遇到,只是听说。
赞
一下
回复此楼
永恒
4楼
2012-04-27 21:48:22
已阅
回复此楼
关注TA
给TA发消息
送TA红花
TA的回帖
lw566
银虫
(小有名气)
应助: 0
(幼儿园)
金币: 140.4
散金: 7
红花: 1
帖子: 264
在线: 80.3小时
虫号: 832147
注册: 2009-08-21
性别: GG
专业: 半导体材料
非常感谢二位的帮助,由于物理基础薄弱,还是不太明白,能否给我点报道类似现象的相关文献,让我仔细看看,谢谢了。
赞
一下
回复此楼
5楼
2012-04-28 09:13:51
已阅
回复此楼
关注TA
给TA发消息
送TA红花
TA的回帖
zhangxqustc
铁虫
(正式写手)
应助: 13
(小学生)
金币: 426.7
红花: 10
帖子: 420
在线: 168.4小时
虫号: 1421081
注册: 2011-09-28
性别: GG
专业: 电化学
引用回帖:
5楼
:
Originally posted by
lw566
at 2012-04-28 09:13:51:
非常感谢二位的帮助,由于物理基础薄弱,还是不太明白,能否给我点报道类似现象的相关文献,让我仔细看看,谢谢了。
看磁性物理吧,很多书里都讲得……要不就搜搜网上的,查查场冷和零场冷的区别……
赞
一下
回复此楼
永恒
6楼
2012-04-28 17:30:22
已阅
回复此楼
关注TA
给TA发消息
送TA红花
TA的回帖
jie332844193
金虫
(初入文坛)
应助: 0
(幼儿园)
金币: 1694.3
帖子: 23
在线: 70.1小时
虫号: 1242787
注册: 2011-03-23
性别: GG
专业: 凝聚态物性 II :电子结构
研一小辈想请问下如何进行磁学模拟,是要用到特定软件吗?如果是是什么?
赞
一下
回复此楼
7楼
2012-10-28 14:09:34
已阅
回复此楼
关注TA
给TA发消息
送TA红花
TA的回帖
menkuo1110
木虫
(正式写手)
应助: 6
(幼儿园)
金币: 4953.4
散金: 102
红花: 1
帖子: 532
在线: 291.5小时
虫号: 1313697
注册: 2011-06-02
性别: GG
专业: 金属功能材料
【答案】应助回帖
引用回帖:
7楼
:
Originally posted by
jie332844193
at 2012-10-28 14:09:34
研一小辈想请问下如何进行磁学模拟,是要用到特定软件吗?如果是是什么?
oommf,磁学有限元。
赞
一下
回复此楼
8楼
2013-01-25 02:11:33
已阅
回复此楼
关注TA
给TA发消息
送TA红花
TA的回帖
相关版块跳转
数理科学综合
机械
物理
数学
农林
食品
地学
能源
信息科学
土木建筑
航空航天
转基因
我要订阅楼主
lw566
的主题更新
8
1/1
返回列表
如果回帖内容含有宣传信息,请如实选中。否则帐号将被全论坛禁言
普通表情
龙
兔
虎
猫
百度网盘
|
360云盘
|
千易网盘
|
华为网盘
在新窗口页面中打开自己喜欢的网盘网站,将文件上传后,然后将下载链接复制到帖子内容中就可以了。
信息提示
关闭
请填处理意见
关闭
确定