| 查看: 547 | 回复: 2 | ||
jiang624719金虫 (小有名气)
|
[求助]
单核配合物磁性分析
|
|
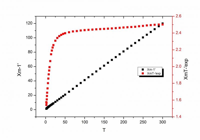
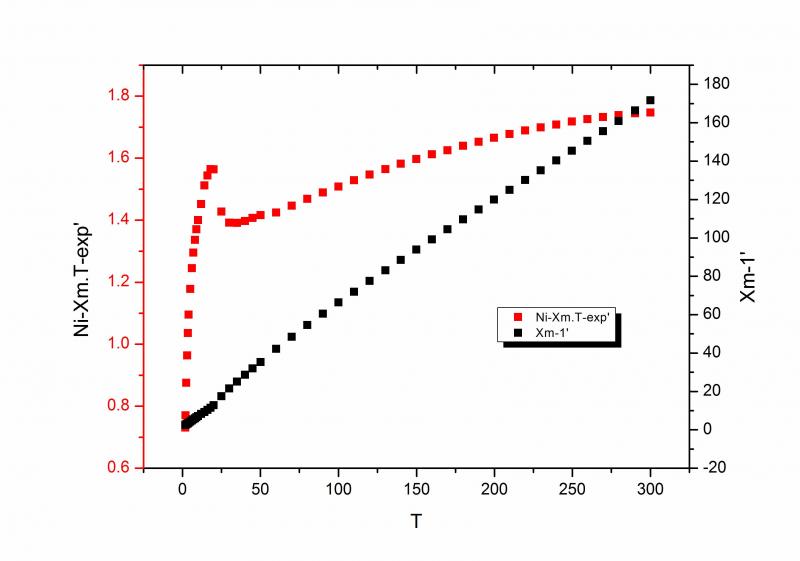
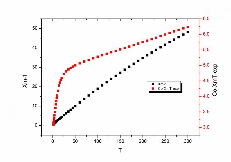
第一个单核Co 配合物, 第二个单核Ni 配合物 各位帮忙看看,第一个Co的还算正常,不过拟合不了,不知道是公式不对还是怎么了, 第二个Ni的不知道为什么翘了起来, 一维Co链 一维Ni链 Co Co扣除抗磁常数 Ni Ni扣除抗磁常数 |
» 猜你喜欢
济南大学国家优青课题组 2026 调剂招生来啦
已经有0人回复
武汉纺织大学_化学院官方调剂群-院士团队招生-学生自由度高发展好-欢迎各位同学
已经有0人回复
金属材料论文润色/翻译怎么收费?
已经有68人回复
西华大学 化学 调剂有名额
已经有0人回复
上海应用技术大学招生调剂研究生
已经有8人回复
南京晓庄学院绿色能源材料团队招生
已经有0人回复
南京晓庄学院绿色能源材料团队招生
已经有0人回复
北方工业大学储能技术-02电化学储能与氢能方向招收2026级二次调剂学生
已经有0人回复
» 本主题相关价值贴推荐,对您同样有帮助:
关于安徽省2015年度自然科学基金拟立项项目的公示
已经有20人回复
配合物的磁性测试
已经有11人回复
求大神解惑!!怎样通过磁性判断配合物是内轨型还是外轨型?
已经有3人回复
关于卡宾配合物的合成的条件
已经有8人回复
2014年天津市第一批科技计划项目立项公告
已经有19人回复
MPMS (SQUID)测量磁性背景扣除问题
已经有10人回复
求南京大学国基名单
已经有5人回复
晶体成核理论和固液相平衡
已经有6人回复
2011年博士点基金联合资助课题立项公布
已经有3人回复
2011西北农林科技大学自然基金获批项目
已经有17人回复
西北农林科技大学2011国家自然科学基金中标清单
已经有16人回复
【请教】有烧出红色的铜的晶体的吗
已经有8人回复
【求助】晶体不溶解怎么办?
已经有24人回复
【求助】顺磁性 的配合物 能做核磁共振吗
已经有5人回复
【交流】配合物单晶一定不溶于水吗?
已经有11人回复

sciencemaji
至尊木虫 (文坛精英)
- 应助: 231 (大学生)
- 金币: 21400.6
- 散金: 1168
- 红花: 60
- 沙发: 1208
- 帖子: 17913
- 在线: 1542小时
- 虫号: 874127
- 注册: 2009-10-16
- 性别: GG
- 专业: 老年医学
2楼2012-04-21 13:53:15
jiang624719
金虫 (小有名气)
- 应助: 0 (幼儿园)
- 金币: 619.2
- 散金: 22
- 红花: 2
- 帖子: 160
- 在线: 151.8小时
- 虫号: 1208741
- 注册: 2011-02-21
- 性别: GG
- 专业: 结构化学

3楼2012-04-21 19:21:38













回复此楼