24小时热门版块排行榜    

北京石油化工学院2026年研究生招生接收调剂公告
查看: 1051  |  回复: 5

136391618

木虫 (正式写手)

物理骨灰迷

[求助] 【求助】吴大猷理论物理中让我纠结的地方

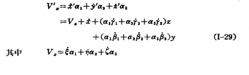
吴大猷理论物理中让我纠结的地方,希望大家棒我解释下,最好有证明,本人没什么金币,见谅啊   
请你们先看下这几页吧图1.2.3.4.5
然后我是在图6地方想不通

















[ Last edited by 华丽的飘过 on 2012-9-22 at 22:45 ]
回复此楼
爱因斯坦我来了
已阅   关注TA 给TA发消息 送TA红花 TA的回帖

136391618

木虫 (正式写手)

物理骨灰迷

大师们求解啊
爱因斯坦我来了
2楼2012-04-20 13:01:28
已阅   关注TA 给TA发消息 送TA红花 TA的回帖

136391618

木虫 (正式写手)

物理骨灰迷

夕阳西下: , 存在转动啊 2012-04-21 11:13:23
这个式在次O系中分解次xyz中质点的速度怎么还和次xyz系与xyz系的夹角有关???  不明白

» 本帖附件资源列表

  • 欢迎监督和反馈:小木虫仅提供交流平台,不对该内容负责。
    本内容由用户自主发布,如果其内容涉及到知识产权问题,其责任在于用户本人,如对版权有异议,请联系邮箱:xiaomuchong@tal.com
  • 附件 1 : 捕获.JPG
  • 2012-04-21 10:43:31, 11.87 K
爱因斯坦我来了
3楼2012-04-21 10:43:34
已阅   关注TA 给TA发消息 送TA红花 TA的回帖

136391618

木虫 (正式写手)

物理骨灰迷

http://muchong.com/bbs/viewthread.php?tid=4557910场论与粒子物理学——李政道
http://muchong.com/bbs/viewthread.php?tid=4546987华罗庚的高数
http://muchong.com/bbs/viewthread.php?tid=4424727 费曼物理学讲义
http://muchong.com/bbs/viewthread.php?tid=4416689薛定谔,钱学森,费米,阿莫西夫,傅里叶,哈维特等大师们著作大集合
http://muchong.com/bbs/viewthread.php?tid=4413968超弦理论 时空理论(加来道雄 获诺贝尔奖)
http://muchong.com/bbs/viewthread.php?tid=4413843伟大物理学家泡利物理学讲义丛书
http://muchong.com/bbs/viewthread.php?tid=4411946量子力学一些好资料(有费曼,狄拉克)
http://muchong.com/bbs/viewthread.php?tid=4409442著名物理学家吴大猷教授的理论物理丛书下载
http://muchong.com/bbs/viewthread.php?tid=4415240爱因斯坦文集和钱学森的著作
http://muchong.com/bbs/viewthread.php?tid=440957210000个科学难题物理卷(有科研价值)下载附带3本相对论
http://muchong.com/bbs/viewthread.php?tid=4416383钱学森的论文,著作,学术报告全套下载
http://muchong.com/bbs/viewthread.php?tid=441681210000个科学难题数学卷

http://muchong.com/bbs/viewthread.php?tid=4557910场论与粒子物理学——李政道
http://muchong.com/bbs/viewthread.php?tid=4546987华罗庚的高数
http://muchong.com/bbs/viewthread.php?tid=4424727 费曼物理学讲义
http://muchong.com/bbs/viewthread.php?tid=4416689薛定谔,钱学森,费米,阿莫西夫,傅里叶,哈维特等大师们著作大集合
http://muchong.com/bbs/viewthread.php?tid=4413968超弦理论 时空理论(加来道雄 获诺贝尔奖)
http://muchong.com/bbs/viewthread.php?tid=4413843伟大物理学家泡利物理学讲义丛书
http://muchong.com/bbs/viewthread.php?tid=4411946量子力学一些好资料(有费曼,狄拉克)
http://muchong.com/bbs/viewthread.php?tid=4409442著名物理学家吴大猷教授的理论物理丛书下载
http://muchong.com/bbs/viewthread.php?tid=4415240爱因斯坦文集和钱学森的著作
http://muchong.com/bbs/viewthread.php?tid=440957210000个科学难题物理卷(有科研价值)下载附带3本相对论
http://muchong.com/bbs/viewthread.php?tid=4416383钱学森的论文,著作,学术报告全套下载
http://muchong.com/bbs/viewthread.php?tid=441681210000个科学难题数学卷
爱因斯坦我来了
4楼2012-05-27 10:26:46
已阅   关注TA 给TA发消息 送TA红花 TA的回帖

yiluwangxi

木虫 (著名写手)

你这种搞法,问题都没说清楚,我认为你并不是严肃的。我也只好打酱油了,飘过。
5楼2012-05-27 10:55:24
已阅   关注TA 给TA发消息 送TA红花 TA的回帖

136391618

木虫 (正式写手)

物理骨灰迷

引用回帖:
5楼: Originally posted by yiluwangxi at 2012-05-27 10:55:24
你这种搞法,问题都没说清楚,我认为你并不是严肃的。我也只好打酱油了,飘过。

我只是问第六图的公式是怎么来得  其他图只是参考
没仔细看才会认为我没说清楚   虽然我是写的有点乱的说
不过这是我刚注册是发的问题  一个月前的 现在我自己已经想明白了

谢谢
爱因斯坦我来了
6楼2012-05-27 13:42:34
已阅   关注TA 给TA发消息 送TA红花 TA的回帖
相关版块跳转 我要订阅楼主 136391618 的主题更新
最具人气热帖推荐 [查看全部] 作者 回/看 最后发表
[考研] 专硕 351 086100 也是考的材科基 本科也是材料 +6 202451007219 2026-04-02 6/300 2026-04-03 01:16 by BruceLiu320
[考研] 282求调剂 +18 ycy1201 2026-04-01 20/1000 2026-04-02 16:39 by liumengping
[考研] 275学硕081000服从调剂到其他专业,保不住本专业了 +7 一只小小水牛 2026-04-02 8/400 2026-04-02 14:23 by alice-2022
[考研] 能源动力 调剂 +3 不破不立0 2026-04-02 3/150 2026-04-02 12:46 by ffffjjjj
[考研] 求调剂!生物与医药专硕 +4 逆转陆先生 2026-04-01 4/200 2026-04-02 11:51 by xiaoranmu
[考研] 271求调剂 +15 勒布朗@ 2026-03-31 20/1000 2026-04-02 11:24 by Sammy2
[考研] 372求调剂 +3 jj涌77 2026-04-02 3/150 2026-04-02 09:57 by olim
[考研] 266求调剂 +4 学员97LZgn 2026-04-02 4/200 2026-04-02 09:52 by yulian1987
[考研] 11408 321分求调剂 +3 huchun12138 2026-03-30 4/200 2026-04-01 22:48 by guanxin1001
[考研] 江苏科技大学招材料研究生 +4 Su032713. 2026-04-01 5/250 2026-04-01 22:03 by cccchenso
[考研] 求调剂0703 +5 周嘉尧 2026-03-31 8/400 2026-04-01 20:32 by ltltkkk
[考研] 085600 一志愿9 总分351 求调剂学校 +7 czhcz 2026-03-31 9/450 2026-04-01 19:24 by 无际的草原
[考研] 0710生物学考研调剂 +3 李多米lee. 2026-03-27 4/200 2026-04-01 16:21 by zzchen2000
[考研] 省双一流重点一本大学招收调剂 +4 wwwwffffff 2026-03-31 7/350 2026-04-01 15:23 by wwwwffffff
[考研] 材料专硕306英一数二 +7 z1z2z3879 2026-03-31 7/350 2026-04-01 14:50 by ZXlzxl0425
[考研] 070300求调剂306分 +5 26要上岸 2026-03-27 5/250 2026-04-01 11:09 by oooqiao
[考研] 一志愿武理材料工程302调剂环化或化工 +15 Doleres 2026-03-31 16/800 2026-04-01 09:49 by lfj11
[考研] 一志愿西电085401数一英一299求调剂 六级521 +4 爱吃大鸭梨 2026-03-31 4/200 2026-03-31 11:51 by 搏击518
[考研] 279求调剂 +4 蝶舞轻绕 2026-03-29 4/200 2026-03-29 09:45 by laoshidan
[考研] 本科新能源科学与工程,一志愿华理能动285求调剂 +3 AZMK 2026-03-27 5/250 2026-03-28 16:19 by xxxsssccc
信息提示
请填处理意见