| 查看: 226 | 回复: 0 | |
wanyue1111木虫 (著名写手)
|
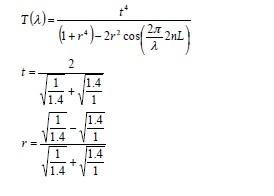
[求助]
光学滤波器 设计
|
![]() |
|
|
|
|
|
找到一些相关的精华帖子,希望有用哦~
科研从小木虫开始,人人为我,我为人人
|













回复此楼

点击这里搜索更多相关资源
10