| ²é¿´: 2071 | »Ø¸´: 12 | |||
caocuijiayouľ³æ (Ö°Òµ×÷¼Ò)
hah
|
[ÇóÖú]
Êý¾ÝÄâºÏ
|
|
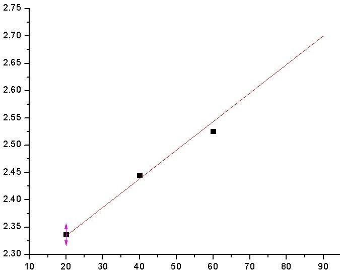
´ó¼ÒÄâºÏ¹ýÊý¾ÝµÄ ÕâÖÖͼÄâºÏ³öÀ´ °´µÀÀí¾¹ýԵ㠽á¹ûÄâºÏ³öÀ´²»¾¹ýÔµã Ôõô°ì ÑÓ³¤ÇúÏß µÃµ½µÄXÖáÉϽ»µãÓÐʲôÒâÒåûÓÐ |
» ²ÂÄãϲ»¶
0855Çóµ÷¼Á²ÄÁÏ
ÒѾÓÐ12È˻ظ´
297·Ö083200ÇóÖú
ÒѾÓÐ7È˻ظ´
070300»¯Ñ§Ñ§Ë¶311·ÖÇóµ÷¼Á
ÒѾÓÐ10È˻ظ´
ר˶0854³õÊÔ¿¼²Ä¿Æ»ù£¬Çóµ÷¼Á
ÒѾÓÐ8È˻ظ´
0857´óÀà»·¾³¹¤³ÌBÇøÇóµ÷¼Á
ÒѾÓÐ3È˻ظ´
0817»¯Ñ§¹¤³ÌÓë¼¼ÊõÇóµ÷¼Á£¬Ò»Ö¾Ô¸Öк£Ñó319
ÒѾÓÐ14È˻ظ´
0703»¯Ñ§µ÷¼Á325·Ö
ÒѾÓÐ11È˻ظ´
286Çóµ÷¼Á
ÒѾÓÐ8È˻ظ´
Çóµ÷¼Á
ÒѾÓÐ5È˻ظ´
ÉúÎïѧ308·ÖÇóµ÷¼Á£¨Ò»Ö¾Ô¸»ª¶«Ê¦´ó£©
ÒѾÓÐ4È˻ظ´

lihongyan424
Ìú¸Ëľ³æ (ÖøÃûдÊÖ)
ÀèÊå
- ACI: 1
- Ó¦Öú: 23 (СѧÉú)
- ¹ó±ö: 0.526
- ½ð±Ò: 9739.2
- É¢½ð: 642
- ºì»¨: 44
- ɳ·¢: 11
- Ìû×Ó: 1585
- ÔÚÏß: 553.9Сʱ
- ³æºÅ: 1472350
- ×¢²á: 2011-11-02
- ÐÔ±ð: GG
- רҵ: ÌìÌåÁ¦Ñ§ºÍÈËÔìÎÀÐǶ¯Á¦Ñ§

2Â¥2012-04-13 18:41:49
caocuijiayou
ľ³æ (Ö°Òµ×÷¼Ò)
hah
- Ó¦Öú: 0 (Ó×¶ùÔ°)
- ½ð±Ò: 1740.2
- É¢½ð: 842
- ºì»¨: 66
- ɳ·¢: 7
- Ìû×Ó: 4198
- ÔÚÏß: 393.4Сʱ
- ³æºÅ: 1108580
- ×¢²á: 2010-09-26
- ÐÔ±ð: MM
- רҵ: Óлú»¯¹¤

3Â¥2012-04-13 18:46:57
lihongyan424
Ìú¸Ëľ³æ (ÖøÃûдÊÖ)
ÀèÊå
- ACI: 1
- Ó¦Öú: 23 (СѧÉú)
- ¹ó±ö: 0.526
- ½ð±Ò: 9739.2
- É¢½ð: 642
- ºì»¨: 44
- ɳ·¢: 11
- Ìû×Ó: 1585
- ÔÚÏß: 553.9Сʱ
- ³æºÅ: 1472350
- ×¢²á: 2011-11-02
- ÐÔ±ð: GG
- רҵ: ÌìÌåÁ¦Ñ§ºÍÈËÔìÎÀÐǶ¯Á¦Ñ§

4Â¥2012-04-13 19:05:52
lifucheng
ר¼Ò¹ËÎÊ (ÖªÃû×÷¼Ò)
-

ר¼Ò¾Ñé: +1438 - ACI: 6
- Ó¦Öú: 1502 (½²Ê¦)
- ¹ó±ö: 0.365
- ½ð±Ò: 25507.1
- É¢½ð: 27
- ºì»¨: 133
- Ìû×Ó: 5708
- ÔÚÏß: 730.1Сʱ
- ³æºÅ: 578772
- ×¢²á: 2008-07-04
- ÐÔ±ð: GG
- רҵ: µç»¯Ñ§·ÖÎö
- ¹ÜϽ: ·ÖÎö
5Â¥2012-04-13 19:07:11
caocuijiayou
ľ³æ (Ö°Òµ×÷¼Ò)
hah
- Ó¦Öú: 0 (Ó×¶ùÔ°)
- ½ð±Ò: 1740.2
- É¢½ð: 842
- ºì»¨: 66
- ɳ·¢: 7
- Ìû×Ó: 4198
- ÔÚÏß: 393.4Сʱ
- ³æºÅ: 1108580
- ×¢²á: 2010-09-26
- ÐÔ±ð: MM
- רҵ: Óлú»¯¹¤

6Â¥2012-04-13 19:23:32
caocuijiayou
ľ³æ (Ö°Òµ×÷¼Ò)
hah
- Ó¦Öú: 0 (Ó×¶ùÔ°)
- ½ð±Ò: 1740.2
- É¢½ð: 842
- ºì»¨: 66
- ɳ·¢: 7
- Ìû×Ó: 4198
- ÔÚÏß: 393.4Сʱ
- ³æºÅ: 1108580
- ×¢²á: 2010-09-26
- ÐÔ±ð: MM
- רҵ: Óлú»¯¹¤

7Â¥2012-04-13 19:24:45
¿ñ·ç±©ÀË
½ð³æ (ÕýʽдÊÖ)
- Ó¦Öú: 50 (СѧÉú)
- ½ð±Ò: 1344.7
- É¢½ð: 133
- ºì»¨: 10
- Ìû×Ó: 397
- ÔÚÏß: 79.1Сʱ
- ³æºÅ: 1436173
- ×¢²á: 2011-10-10
- ÐÔ±ð: GG
- רҵ: ÎÞ»ú»¯Ñ§

8Â¥2012-04-14 10:38:33
chyll9999
ľ³æ (СÓÐÃûÆø)
- Ó¦Öú: 16 (СѧÉú)
- ½ð±Ò: 2577.6
- ºì»¨: 2
- Ìû×Ó: 186
- ÔÚÏß: 101.6Сʱ
- ³æºÅ: 1497169
- ×¢²á: 2011-11-17
- ÐÔ±ð: MM
- רҵ: É«Æ×·ÖÎö

9Â¥2012-04-14 22:33:22
½âС³î
Òø³æ (СÓÐÃûÆø)
- Ó¦Öú: 34 (СѧÉú)
- ½ð±Ò: 863.5
- É¢½ð: 13
- Ìû×Ó: 174
- ÔÚÏß: 43.1Сʱ
- ³æºÅ: 1737559
- ×¢²á: 2012-04-05
- רҵ: ·ÖÀë¹ý³Ì
10Â¥2012-04-15 18:34:47














»Ø¸´´ËÂ¥