| ²é¿´: 1231 | »Ø¸´: 4 | ||
lature00½ð³æ (ÖøÃûдÊÖ)
|
[ÇóÖú]
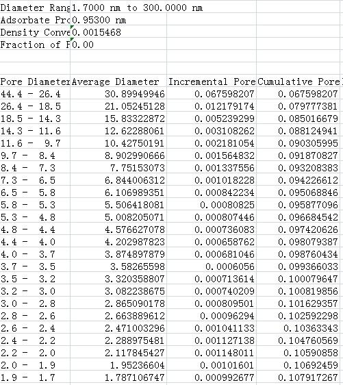
ÇóÇë¸ßÊÖ°ïæ·ÖÎöһϳÁµíÌú´ß»¯¼ÁµÄBJH¿×¾¶·Ö²¼ÎªºÎûÓзå
|
|
ÒÔÏ·ֱðΪ¶ÔÊý×ø±êdV/dlog(D)ºÍÆÕÍ¨×ø±êͼ ±È±íÃæ»ý50×óÓÒ ºá×ø±êµ¥Î»£ºnm ×Ý×ø±ê£ºcm3/g ÊôÓÚµÚIVÀàÎü¸½ÇúÏß ²»Ê¤¸Ðл [ Last edited by lature00 on 2012-4-13 at 12:52 ] |
» ²ÂÄãϲ»¶
¹ú¼Ò¼¶È˲ſÎÌâ×éÕÐÑо¿Éú £¨´ß»¯·½Ïò£©µ÷¼Á
ÒѾÓÐ13È˻ظ´
ÕÐÊÕ˶ʿÑо¿Éú
ÒѾÓÐ26È˻ظ´
»¯Ñ§¹¤³Ì¼°¹¤Òµ»¯Ñ§ÂÛÎÄÈóÉ«/·ÒëÔõôÊÕ·Ñ?
ÒѾÓÐ70È˻ظ´
[Ìì½ò]ÖйúÃñº½´óѧ ÕÐÊÕ²ÄÁÏÀàÑо¿Éú
ÒѾÓÐ0È˻ظ´
²ÄÁÏÓ뻯¹¤×¨ÒµÓдóÁ¿µ÷¼ÁÖ¸±ê
ÒѾÓÐ8È˻ظ´
¹ú¼Ò´óÈ˲ſÎÌâ×éÕÐÊÕ»¯Ñ§¡¢²ÄÁÏ»¯¹¤Àà2026Äêµ÷¼ÁÉú
ÒѾÓÐ0È˻ظ´
085600µ÷¼Á
ÒѾÓÐ4È˻ظ´
Õãʦ´ó»¯Óë²ÄѧԺ2026ÄêÓдóÁ¿Ë¶Ê¿Ñо¿Éúµ÷¼ÁÃû¶î £¨ÏßÉÏ µ÷¼Á£©
ÒѾÓÐ7È˻ظ´
¼ªÁÖ¹¤³Ì¼¼Êõʦ·¶Ñ§Ôº ²ÄÁÏÓ뻯¹¤ £¨0856£© ÕÐÊÕµ÷¼Á
ÒѾÓÐ4È˻ظ´
¿ÎÌâ×é(»¯Ñ§¡¢»¯¹¤¡¢»·¾³¡¢ÄÜÔ´¡¢²ÄÁÏÏà¹Ø·½Ïò)»¶ÓÄãµÄ¼ÓÈë
ÒѾÓÐ9È˻ظ´
¹ú¼Ò´óÈ˲ſÎÌâ×éÕÐÊÕ»¯Ñ§¡¢²ÄÁÏ»¯¹¤Àà2026Äêµ÷¼ÁÉú
ÒѾÓÐ0È˻ظ´
» ±¾Ö÷ÌâÏà¹Ø¼ÛÖµÌùÍÆ¼ö£¬¶ÔÄúͬÑùÓаïÖú:
·ÑÃ×Ãæ¸½½ü³öÏÖÒ»¸ö±È½Ï´óµÄ·å£¬ÕâÊÇÌåϵ²»Îȶ¨µÄÐźÅô£¿
ÒѾÓÐ23È˻ظ´
ÇóÖú¿ÉÔÙÉúȼÁÏ»ò´ß»¯¼Á·½Ã棬Éó¸å½Ï¿ì»ò±È½ÏºÃÖеÄÔÓÖ¾£¬ÒªÇóQ2Çø¼°ÒÔÉÏ£¬Ð»Ð»£¡
ÒѾÓÐ8È˻ظ´
Á×ËáÑκÍÂÈ»¯¸ÆÅäÖÆÅàÑø»ù²úÉú³ÁµíÊÇÔõô»ØÊ°¡
ÒѾÓÐ12È˻ظ´
¸öÈËÊղصĹØÓÚNBAÇò¶Ó£¬Å£ÈË£¬ÀºÇò¹æÔò£¬²ÃÅнéÉÜ£¬µÄPPT£¬
ÒѾÓÐ123È˻ظ´
°ïæ·ÖÎöÏÂÕâ¸öͼ ¶þÑõ»¯îÑÄÉÃ׹ܵÄBET ¼°¿×¾¶·Ö²¼
ÒѾÓÐ9È˻ظ´
ÁÚ±½³Áµí
ÒѾÓÐ4È˻ظ´
BJH ¼ÆËã¿×¾¶·Ö²¼Ê±£¬ 4nm¹í·å
ÒѾÓÐ16È˻ظ´
´ß»¯¼ÁÊÙÃüµÄµ¥Î»£¬Çë´ó¼Ò°ïæ·ÖÎöһϣ¬Ð»Ð»
ÒѾÓÐ6È˻ظ´
BETÄÜ·ñ¿´³ö´ß»¯¼Á¿×¾¶·Ö²¼µÄ°Ù·Ö±È£¿
ÒѾÓÐ13È˻ظ´
Çë½Ìһϴó¼Ò£¬¹ØÓÚ¿×¾¶·Ö²¼µÄÆÀ¼Û±ê׼ѡȡÎÊÌâ
ÒѾÓÐ9È˻ظ´
ÇóÖú¸ßÈ˰ï·ÖÎöÏÂÕâÕſ׾¶·Ö²¼Í¼£¬¸Ð¾õì¶Ü£¬½âÊͲ»Í¨Ñ½£¡
ÒѾÓÐ10È˻ظ´
¡¾ÇóÖú¡¿°ï·ÖÎöÏÂÕâÕſ׾¶·Ö²¼ºÍÎü¸½ÍѸ½±íÕ÷ͼ
ÒѾÓÐ9È˻ظ´
crazysniper
ľ³æ (ÖøÃûдÊÖ)
- Ó¦Öú: 176 (¸ßÖÐÉú)
- ½ð±Ò: 4551.3
- É¢½ð: 1049
- ºì»¨: 6
- Ìû×Ó: 1772
- ÔÚÏß: 131Сʱ
- ³æºÅ: 860803
- ×¢²á: 2009-09-30
- רҵ: ÄÜÔ´»¯¹¤
2Â¥2012-04-13 18:49:14
ÉϹÙСÏÉ
ľ³æ (ÖøÃûдÊÖ)
ǰÊÀ½ñÉú
- C-EPI: 2
- Ó¦Öú: 291 (´óѧÉú)
- ¹ó±ö: 0.038
- ½ð±Ò: 4190.1
- É¢½ð: 2000
- ºì»¨: 94
- Ìû×Ó: 1334
- ÔÚÏß: 187.1Сʱ
- ³æºÅ: 1730712
- ×¢²á: 2012-04-01
- ÐÔ±ð: GG
- רҵ: µç»úÓëµçÆ÷
¡¾´ð°¸¡¿Ó¦Öú»ØÌû
¸Ðл²ÎÓ룬ӦÖúÖ¸Êý +1
| ´ÓͼÐÎÀ´¿´£¬ÄãµÄÑùÆ·Ó¦¸ÃÊÇ´ó¿×²ÄÁÏ£¬µ«ÊÇÄã×öµÄ×î´óµÄ¿×²Å30nm£¬30nmÒÔÉϵÄû×ö³öÀ´¡£´Óͼ1ºÍ2¿ÉÒÔ¿´³ö£¬¿×Ö÷Òª¼¯ÖÐÔÚ30nm»òÕßÒÔÉϵĵط½£¨ÒòΪÄã×öµÄ¸ßѹµãÓеãµÍ£¬²Åµ½0.95£¬½¨Òé×öµ½0.98ÒÔÉÏ£©¡£ÓпÉÄÜÊÇ¿×ÔÚ30nm×óÓÒ£¬µ«ÊÇÓÉÓÚÄãûÍùÉÏ×ö£¬ËùÒÔÄǸöµãÊDz»ÊÇÄãËùÒªµÄ·å»¹²»ºÃ˵£¬½¨ÒéÖØÐÂ×ö°É£¬ÕâÊÇʵÑé¶ÔÓÚ¿×¾¶·ÖÎö×÷Óò»´ó¡£ |

3Â¥2012-04-17 14:37:10
lature00
½ð³æ (ÖøÃûдÊÖ)
- Ó¦Öú: 4 (Ó×¶ùÔ°)
- ½ð±Ò: 2587.6
- É¢½ð: 40
- ºì»¨: 7
- Ìû×Ó: 1271
- ÔÚÏß: 182.4Сʱ
- ³æºÅ: 307760
- ×¢²á: 2006-12-16
- רҵ: »¯Ñ§·´Ó¦¹¤³Ì
|
µØ·½°æ¡°ËÄÍòÒÚ¡±¾®Åç ÎÈÔö³¤¿ìÂí¼Ó±Þ http://finance.ifeng.com/news/sp ... 20730/6837236.shtml ³¤É³8000ÒÚÏîÄ¿¹ÒÅÆ ¹óÖÝ3ÍòÒÚ................... 23ʡͶ×ÊÔöËÙ³¬È«¹ú ÕæÊǾªÏ²²»¶Ï£¬´ó¼Ò²»Òª×ß¿ªÅ¶ |
4Â¥2012-07-30 18:21:16
lature00
½ð³æ (ÖøÃûдÊÖ)
- Ó¦Öú: 4 (Ó×¶ùÔ°)
- ½ð±Ò: 2587.6
- É¢½ð: 40
- ºì»¨: 7
- Ìû×Ó: 1271
- ÔÚÏß: 182.4Сʱ
- ³æºÅ: 307760
- ×¢²á: 2006-12-16
- רҵ: »¯Ñ§·´Ó¦¹¤³Ì
5Â¥2012-07-30 18:22:08














»Ø¸´´ËÂ¥