| 查看: 703 | 回复: 8 | ||
[求助]
请教一个微积分题
|
||
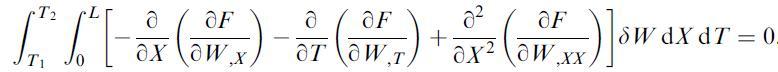
|
|
||
soliton923铁杆木虫 (职业作家)
数学村村长
|
||
![]() |
||
|
2楼2012-04-12 10:31:41
|
|
|
|
3楼2012-04-12 10:37:03
|
|
|
|
4楼2012-04-12 10:38:27
|
|
|
|
感谢参与,应助指数 +1
|
||
|
5楼2012-04-12 11:39:35
|
|
|
|
||
|
6楼2012-04-12 11:42:40
|
|
|
|
7楼2012-04-12 16:18:33
|
|
|
|
8楼2012-04-12 16:20:14
|
|
|
|
★ ★ ★ ★ ★
beppe: 金币+5, ★★★很有帮助, 谢谢 2012-04-12 17:03:38
|
||
|
9楼2012-04-12 17:01:35
|
|














回复此楼
