| ²é¿´: 2219 | »Ø¸´: 13 | ||
wtlmao½ð³æ (СÓÐÃûÆø)
|
[ÇóÖú]
×è¾Û¼ÁµÄÑ¡Ôñ
|
|
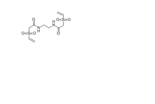
ʵÑéÖÆ±¸Ò»¸ö»¯ºÏÎÓÐ×Ô¾ÛÏÖÏó£¬Çó°ïÃ¦ÍÆ¼öÊʺϵÄ×è¾Û¼Á£¬×îºÃÄÜ˵Ã÷ÏÂÑ¡ÔñÔÒò£¬Ð»Ð»ÁË£¡»¹ÓÐÔõôÌá¸ßÔÚË®ÖеÄÈܽâÐÔ¼°ÆäË®ÈÜÒºµÄÎȶ¨ÐÔ£¿ [ Last edited by wtlmao on 2012-4-11 at 22:43 ] |
» ²ÂÄãϲ»¶
Ò»Ö¾Ô¸ÄϾ©º½¿Õº½Ìì´óѧ ²ÄÁÏÓ뻯¹¤329·ÖÇóµ÷¼Á
ÒѾÓÐ8È˻ظ´
²ÄÁÏר˶283Çóµ÷¼Á
ÒѾÓÐ18È˻ظ´
301Çóµ÷¼Á
ÒѾÓÐ4È˻ظ´
286Çóµ÷¼Á
ÒѾÓÐ6È˻ظ´
297·Ö083200ÇóÖú
ÒѾÓÐ5È˻ظ´
281Çóµ÷¼Á
ÒѾÓÐ4È˻ظ´
0703µ÷¼Á£¬Ò»Ö¾Ô¸Ìì½ò´óѧ319·Ö
ÒѾÓÐ10È˻ظ´
085600²ÄÁÏÓ뻯¹¤301·ÖÇóµ÷¼ÁԺУ
ÒѾÓÐ11È˻ظ´
336²ÄÁÏÓ뻯¹¤085600Çóµ÷¼Á
ÒѾÓÐ9È˻ظ´
312Çóµ÷¼Á
ÒѾÓÐ9È˻ظ´

zaihang
ľ³æ (ÖøÃûдÊÖ)
- PEPI: 1
- Ó¦Öú: 225 (´óѧÉú)
- ½ð±Ò: 4030.3
- É¢½ð: 580
- ºì»¨: 23
- Ìû×Ó: 2859
- ÔÚÏß: 473.1Сʱ
- ³æºÅ: 936598
- ×¢²á: 2010-01-04
- רҵ: ÊýÂÛ
2Â¥2012-04-12 07:53:42
happybaby216
½ð³æ (ÕýʽдÊÖ)
- Ó¦Öú: 6 (Ó×¶ùÔ°)
- ½ð±Ò: 814.7
- É¢½ð: 42
- ºì»¨: 1
- Ìû×Ó: 346
- ÔÚÏß: 68.4Сʱ
- ³æºÅ: 521656
- ×¢²á: 2008-03-09
- ÐÔ±ð: GG
- רҵ: ¹¦ÄÜÓëÖÇÄܸ߷Ö×Ó
3Â¥2012-04-12 08:37:32
liangtao86
ͳæ (СÓÐÃûÆø)
- Ó¦Öú: 6 (Ó×¶ùÔ°)
- ½ð±Ò: 50.2
- É¢½ð: 165
- ºì»¨: 1
- Ìû×Ó: 251
- ÔÚÏß: 86Сʱ
- ³æºÅ: 1082975
- ×¢²á: 2010-08-27
- ÐÔ±ð: GG
- רҵ: ¾ÛºÏÎï¹²»ìÓ븴ºÏ²ÄÁÏ
4Â¥2012-04-12 08:51:54
wtlmao
½ð³æ (СÓÐÃûÆø)
- Ó¦Öú: 1 (Ó×¶ùÔ°)
- ½ð±Ò: 800
- Ìû×Ó: 122
- ÔÚÏß: 65.6Сʱ
- ³æºÅ: 1121486
- ×¢²á: 2010-10-13
- ÐÔ±ð: GG
- רҵ: ÉúÎﻯ¹¤ÓëʳƷ»¯¹¤

5Â¥2012-04-12 10:56:23
wtlmao
½ð³æ (СÓÐÃûÆø)
- Ó¦Öú: 1 (Ó×¶ùÔ°)
- ½ð±Ò: 800
- Ìû×Ó: 122
- ÔÚÏß: 65.6Сʱ
- ³æºÅ: 1121486
- ×¢²á: 2010-10-13
- ÐÔ±ð: GG
- רҵ: ÉúÎﻯ¹¤ÓëʳƷ»¯¹¤

6Â¥2012-04-12 10:56:56
wtlmao
½ð³æ (СÓÐÃûÆø)
- Ó¦Öú: 1 (Ó×¶ùÔ°)
- ½ð±Ò: 800
- Ìû×Ó: 122
- ÔÚÏß: 65.6Сʱ
- ³æºÅ: 1121486
- ×¢²á: 2010-10-13
- ÐÔ±ð: GG
- רҵ: ÉúÎﻯ¹¤ÓëʳƷ»¯¹¤

7Â¥2012-04-12 10:58:32
happybaby216
½ð³æ (ÕýʽдÊÖ)
- Ó¦Öú: 6 (Ó×¶ùÔ°)
- ½ð±Ò: 814.7
- É¢½ð: 42
- ºì»¨: 1
- Ìû×Ó: 346
- ÔÚÏß: 68.4Сʱ
- ³æºÅ: 521656
- ×¢²á: 2008-03-09
- ÐÔ±ð: GG
- רҵ: ¹¦ÄÜÓëÖÇÄܸ߷Ö×Ó
8Â¥2012-04-12 13:21:54
dlw2u
ͳæ (³õÈëÎÄ̳)
- Ó¦Öú: 20 (СѧÉú)
- ½ð±Ò: 60.8
- Ìû×Ó: 34
- ÔÚÏß: 5.4Сʱ
- ³æºÅ: 1712925
- ×¢²á: 2012-03-23
- ÐÔ±ð: GG
- רҵ: ¸ß·Ö×Ӻϳɻ¯Ñ§
9Â¥2012-04-12 20:18:47
351140050
½ð³æ (ÕýʽдÊÖ)
11
- Ó¦Öú: 4 (Ó×¶ùÔ°)
- ½ð±Ò: 3971.3
- Ìû×Ó: 319
- ÔÚÏß: 179.4Сʱ
- ³æºÅ: 1427448
- ×¢²á: 2011-10-04
- ÐÔ±ð: GG
- רҵ: ¸ß·Ö×Ó²ÄÁϵļӹ¤Óë³ÉÐÍ

10Â¥2012-04-12 22:30:02














»Ø¸´´ËÂ¥