| ²é¿´: 270 | »Ø¸´: 1 | ||
tanghcÌú³æ (³õÈëÎÄ̳)
|
[ÇóÖú]
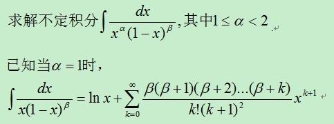
»ý·ÖÇó½â
|
|
ÒÑÖªÌõ¼þ¿ÉÄÜÓеã°ïÖú£¬Çó¸ßÊÖÄܸøµã˼·£¬Ð»Ð» ÊÔ¹ýÓÃx=1/t£¬»¯×÷¶ÔtµÄ»ý·Ö£¬¼´Îª¶Ôf(t)=t^(¦Á+¦Â-2)*(t-1)^(-¦Â)»ý·Ö£¬Çó¸ßÊÖÖ¸µã£¡Ð»Ð»£¡ [ Last edited by tanghc on 2012-4-9 at 16:02 ] |
» ²ÂÄãϲ»¶
275Çóµ÷¼Á
ÒѾÓÐ14È˻ظ´
µ÷¼Á310
ÒѾÓÐ6È˻ظ´
283Çóµ÷¼Á
ÒѾÓÐ3È˻ظ´
085602 »¯¹¤×¨Ë¶ 338·Ö Çóµ÷¼Á
ÒѾÓÐ12È˻ظ´
312£¬ÉúÎïѧÇóµ÷¼Á
ÒѾÓÐ3È˻ظ´
»¯Ñ§0703 µ÷¼Á 306·Ö Ò»Ö¾Ô¸211
ÒѾÓÐ4È˻ظ´
311£¨085601£©Çóµ÷¼Á
ÒѾÓÐ3È˻ظ´
¸´ÊÔµ÷¼Á
ÒѾÓÐ3È˻ظ´
±¾¿ÆË«·Ç²ÄÁÏ£¬¿ç¿¼Ò»Ö¾Ô¸»ªµç085801µçÆø£¬283Çóµ÷¼Á£¬ÈκÎרҵ¶¼¿ÉÒÔ
ÒѾÓÐ6È˻ظ´
²ÄÁÏÓ뻯¹¤272Çóµ÷¼Á
ÒѾÓÐ9È˻ظ´

xxxfield
Òø³æ (СÓÐÃûÆø)
- ÊýѧEPI: 1
- Ó¦Öú: 57 (³õÖÐÉú)
- ½ð±Ò: 667.5
- É¢½ð: 50
- ºì»¨: 2
- Ìû×Ó: 230
- ÔÚÏß: 53.5Сʱ
- ³æºÅ: 1496745
- ×¢²á: 2011-11-17
- רҵ: º¯ÊýÂÛ
2Â¥2012-04-09 18:02:44














»Ø¸´´ËÂ¥