版块导航
正在加载中...
客户端APP下载
论文辅导
申博辅导
登录
注册
帖子
帖子
用户
本版
应《网络安全法》要求,自2017年10月1日起,未进行实名认证将不得使用互联网跟帖服务。为保障您的帐号能够正常使用,请尽快对帐号进行手机号验证,感谢您的理解与支持!
24小时热门版块排行榜
>
论坛更新日志
(4026)
>
文献求助
(468)
>
虫友互识
(354)
>
导师招生
(267)
>
教师之家
(148)
>
考博
(113)
>
硕博家园
(106)
>
休闲灌水
(72)
>
论文道贺祈福
(65)
>
绿色求助(高悬赏)
(62)
>
考研
(60)
>
招聘信息布告栏
(56)
>
论文投稿
(55)
>
基金申请
(45)
>
博后之家
(43)
>
公派出国
(43)
小木虫论坛-学术科研互动平台
»
计算模拟区
»
第一性原理
»
MS
»
CASTEP做热力学计算
4
1/1
返回列表
查看: 996 | 回复: 3
只看楼主
@他人
存档
新回复提醒
(忽略)
收藏
在APP中查看
hwceng0816
木虫
(著名写手)
应助: 130
(高中生)
金币: 4121
帖子: 1914
在线: 1123.9小时
虫号: 1529751
[交流]
CASTEP做热力学计算
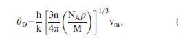
利用CASTEP做德拜温度计算 不知道公式里面的密度 和分子质量怎么得到 大侠来说说
密度直接通过CASTEP里面的的数值显示就可以了吗?
质量是不是晶胞中原子的分子质量总和?
见图
[
Last edited by hwceng0816 on 2012-4-15 at 08:14
]
回复此楼
» 猜你喜欢
遇见不省心的家人很难过
已经有16人回复
退学或坚持读
已经有25人回复
博士延得我,科研能力直往上蹿
已经有4人回复
免疫学博士有名额,速联系
已经有14人回复
面上基金申报没有其他的参与者成吗
已经有4人回复
多组分精馏求助
已经有6人回复
» 本主题相关商家推荐:
(我也要在这里推广)
高级回复
» 本主题相关价值贴推荐,对您同样有帮助:
CASTEP可以计算吉布斯自由能吗?
已经有14人回复
刚买的PC电脑用于CASTEP,供大家参考
已经有16人回复
为何用晶格常数的实验值计算声子?
已经有18人回复
求助ms计算热力学性质的问题
已经有7人回复
【交流】大家说说最想从小木虫的第一性原理板块得到哪些信息和帮助吧
已经有24人回复
【500金币本版活动】“经验力场分子模拟+第一性原理计算问题讨论互助及资源共享”
已经有82人回复
【求助】请教发物理评论B期刊有关光学性质的计算的文献构思问题
已经有14人回复
【求助】求助,关于CASTEP计算氧化物的热力学参数
已经有13人回复
重奖征集国内国外做理论计算课题组的信息
已经有44人回复
【讨论】交流讨论下用VASP计算不同温度下材料的热力学性能
已经有19人回复
» 抢金币啦!回帖就可以得到:
查看全部散金贴
南方医科大学中药学院 申请考核博士一名 (天然药化方向,天然产物分离经验优先)
+
1
/272
香港岭南大学郭瑛课题组博士招生 (2026年秋季入学)
+
1
/185
黄汉民团队联合淮北师范大学招聘师资博士后(年薪30-40万)
+
1
/84
丙烯液相
+
1
/76
中国海洋大学与中国水产科学研究院 联合培养 专硕 食品加工与安全
+
1
/75
非粮生物质能技术全国重点实验室合成生物学创新团队全球招聘博士/博士后
+
1
/74
香港科技大学计算物理及流体力学课题组招收全奖博士后及博士生(2026年9月入学)
+
1
/36
南方医科大学生物医学工程学院招收申请考核制博士生2名、博士后2名(2026)
+
1
/31
教育部重点实验室和清华大学某国家重点实验室,联合培养硕生、博生,并长期招博士后
+
1
/30
上海市“光探测材料与器件”工程技术研究中心(上海应用技术大学)招聘优秀研究人员
+
1
/28
教育部重点实验室和清华大学某国家重点实验室,联合培养硕生、博生,并长期招博士后
+
1
/27
招聘农用化学产品销售一名,须具备良好的英语口语,以便拓展海外市场。
+
1
/7
上海理工大学顾敏院士、张轶楠教授团队 招聘 2026级 光学工程 博士生
+
1
/7
《中文期刊点评》这个模块,怎么不能点评期刊了呢自动跳转到主页了
+
1
/5
复旦大学化学系凡勇教授/张凡教授团队招聘博士后
+
1
/4
中山大学柔性电子学院黄维院士团队诚招博士后(柔性可穿戴电子或相关方向)
+
1
/4
海南大学化学院—功能分子器件团队2026博士/研究助理招生+博士后招聘
+
1
/4
澳科大招收2026年秋季入学药剂学/生物材料方向全奖博士研究生
+
1
/4
华南理工大学宋波教授招聘材料和化学方向博士后(长期有效)
+
1
/2
海南大学生态学博士点招收2026年博士研究生(第二批)
+
1
/1
1楼
2012-04-07 14:40:54
已阅
回复此楼
关注TA
给TA发消息
送TA红花
TA的回帖
lq6865387
木虫
(著名写手)
应助: 137
(高中生)
金币: 3328.5
帖子: 1881
在线: 150.2小时
虫号: 1534707
期待结果 一同学习了。。。。。加油!!
赞
一下
回复此楼
2楼
2012-04-29 18:33:09
已阅
回复此楼
关注TA
给TA发消息
送TA红花
TA的回帖
hit9106
木虫
(小有名气)
应助: 1
(幼儿园)
金币: 1936.3
帖子: 85
在线: 53小时
虫号: 296034
★
小木虫: 金币+0.5, 给个红包,谢谢回帖
M可以用分子量
比如AL2Cu M=27X2+63.5
赞
一下
回复此楼
3楼
2012-06-11 11:08:00
已阅
回复此楼
关注TA
给TA发消息
送TA红花
TA的回帖
hit9106
木虫
(小有名气)
应助: 1
(幼儿园)
金币: 1936.3
帖子: 85
在线: 53小时
虫号: 296034
但是需要你全部转换成相同的单位,看你原包的分子式了
赞
一下
回复此楼
4楼
2012-06-11 11:08:33
已阅
回复此楼
关注TA
给TA发消息
送TA红花
TA的回帖
相关版块跳转
第一性原理
量子化学
计算模拟
分子模拟
仿真模拟
程序语言
我要订阅楼主
hwceng0816
的主题更新
4
1/1
返回列表
如果回帖内容含有宣传信息,请如实选中。否则帐号将被全论坛禁言
普通表情
龙
兔
虎
猫
高级回复
(可上传附件)
百度网盘
|
360云盘
|
千易网盘
|
华为网盘
在新窗口页面中打开自己喜欢的网盘网站,将文件上传后,然后将下载链接复制到帖子内容中就可以了。
信息提示
关闭
请填处理意见
关闭
确定