| ²é¿´: 4128 | »Ø¸´: 9 | ||||||||||
| ¡¾½±Àø¡¿ ±¾Ìû±»ÆÀ¼Û7´Î£¬×÷ÕßzhangguangpingÔö¼Ó½ð±Ò 5.2 ¸ö | ||||||||||
| ±¾Ìû²úÉú 1 ¸ö 1STÇ¿Ìû £¬µã»÷ÕâÀï½øÐв鿴 | ||||||||||
zhangguangpingľ³æ (ÖøÃûдÊÖ)
|
[×ÊÔ´]
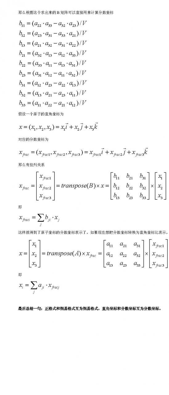
Õý¸ñʸºÍµ¹Ò׸ñʸÒÔ¼°Ö±½Ç×ø±êºÍ·ÖÊý×ø±êµÄ¹ØÏµ
|
|||||||||
µÚÒ»ÐÔÔÀíÏà¹ØÎĵµ | µÚÒ»ÐÔÔÀí | ¾«»ªÍøÌûÊÕ¼¯ | ÎҵĵÚÒ»ÔÀíѧϰÌù |
Siesta£¨Transiesta¡¢ATK£© | Îҵı¦±´Ìû×Ó | µÚÒ»ÐÔÔÀíÔÓ | ѧϰ±¸Óà |
¼ÆË㻯ѧ-¸¨Öú¹¤¾ß |
» ²ÂÄãϲ»¶
297£¬¹¤¿Æµ÷¼Á?
ÒѾÓÐ4È˻ظ´
¿ÒÇëÓÐѧУÊÕÁô
ÒѾÓÐ7È˻ظ´
291Çóµ÷¼Á
ÒѾÓÐ9È˻ظ´
300Çóµ÷¼Á
ÒѾÓÐ11È˻ظ´
22ר˶Çóµ÷¼Á
ÒѾÓÐ12È˻ظ´
²ÄÁÏÏà¹Ø×¨Òµ344Çóµ÷¼ÁË«·Ç¹¤¿ÆÑ§Ð£»ò¿ÎÌâ×é
ÒѾÓÐ25È˻ظ´
¼±Ðèµ÷¼Á
ÒѾÓÐ7È˻ظ´
Çóµ÷¼Á
ÒѾÓÐ10È˻ظ´
Ò»Ö¾Ô¸»ªÖÐũҵ071010£¬320Çóµ÷¼Á
ÒѾÓÐ16È˻ظ´
304Çóµ÷¼Á
ÒѾÓÐ5È˻ظ´
ºØÒÇ
Ìú¸Ëľ³æ (ÖøÃûдÊÖ)
- 1STÇ¿Ìû: 5
- Ó¦Öú: 93 (³õÖÐÉú)
- ¹ó±ö: 0.636
- ½ð±Ò: 5937
- Ìû×Ó: 2499
- ÔÚÏß: 588.7Сʱ
- ³æºÅ: 995125
2Â¥2012-04-04 19:11:53
3Â¥2012-04-04 22:50:39
mengfc
½ð³æ (ÕýʽдÊÖ)
- 1STÇ¿Ìû: 1
- Ó¦Öú: 20 (СѧÉú)
- ½ð±Ò: 1301.2
- Ìû×Ó: 927
- ÔÚÏß: 524.4Сʱ
- ³æºÅ: 818484
5Â¥2012-04-05 21:28:00
¡ï¡ï¡ï¡ï¡ï ÎåÐǼ¶,ÓÅÐãÍÆ¼ö
|
guangpingʦÐÖÄúºÃ ÏòÄúÇë½Ì¼¸¸ö¹ØÓÚsiesta ºÍ transiestaµÄÎÊÌ⣬ 1.ÎÒÓÃCu´úÌæAu×öµç¼«£¬ÄÇKpointsµÄµÄÈ¡·¨¸úAuÒ»ÑùÂ Ò²ÊÇaxaxb? 2.AuÑØ111·½ÏòµÄ»ù±¾×ø±êϵ£¬ÎÒ¿ÉÒÔÓÃLammpsÉú³Éµ¥¾§¾§ÌåºóÖ±½Ó´øÈësiesta¼ÆËãÂ¾ßÌå½á¹¹ÈçÏ£º 16¸öÔ×Ó£¬lattice constant£º 1A 5.768011435 0 0 0 6.6603259 0 0 0 7.06434242 2.8840 0.0000 0.0000 1 1.4420 2.4976 0.0000 1 4.3260 2.4976 0.0000 1 0.0000 0.0000 0.0000 1 1.4420 0.8325 2.3548 1 4.3260 0.8325 2.3548 1 0.0000 4.9952 0.0000 1 2.8840 4.9952 0.0000 1 2.8840 3.3302 2.3548 1 1.4420 5.8278 2.3548 1 4.3260 5.8278 2.3548 1 0.0000 3.3302 2.3548 1 0.0000 1.6651 4.7096 1 1.4420 4.1627 4.7096 1 4.3260 4.1627 4.7096 1 2.8840 1.6651 4.7096 1 [ Last edited by ÌìµØåÐÒ£ on 2012-7-9 at 06:38 ] |
8Â¥2012-07-09 02:08:22
|
http://muchong.com/bbs/viewthread.php?tid=3506606&authorid=1884336 Õâ¸öÎÊÌ⣬ÔÙÄã²âµç¼«Ö®Ç°£¬ÄãÒ²ÊÇÓÃÏàͬµÄµç¼«Îļþ£¨²ÎÊý¶¼Ò»Ñù£¬CG±äÁË£¬×ø±êϵ±äÁË£©½øÐÐ×ø±êÓÅ»¯µÄÂCG£½100£¿ |
9Â¥2012-07-09 05:01:44
fzx2008
ÈÙÓþ°æÖ÷ (ÖøÃûдÊÖ)
- 1STÇ¿Ìû: 9
- Ó¦Öú: 272 (´óѧÉú)
- ¹ó±ö: 1.045
- ½ð±Ò: 21814.1
- Ìû×Ó: 1808
- ÔÚÏß: 1601Сʱ
- ³æºÅ: 621341
6Â¥2012-04-05 21:35:06
¼òµ¥»Ø¸´
zzy870720z4Â¥
2012-04-05 08:01
»Ø¸´
ÎåÐÇºÃÆÀ
drkm7Â¥
2012-04-06 19:22
»Ø¸´
ÈýÐÇºÃÆÀ
@@@@000010Â¥
2012-10-31 17:08
»Ø¸´
ÎåÐÇºÃÆÀ













»Ø¸´´ËÂ¥
5