| 查看: 1841 | 回复: 9 | ||
2digua木虫 (正式写手)
|
[求助]
请大家帮看看这个算是铁电相变吗?
|
|
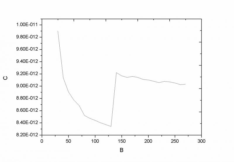
刚测了个介电温谱,刚刚涉及这方面的东西,很多东西都不懂,身边没人做这方面的材料,只能求助了。150度附近的介电常数变化怎么解释啊?我做的多铁材料,如果铁电相变应该是个峰吧,就是陡升之后还应该降下来啊,这个直接就升上去没降啊,正常吗?谢谢大家了! |
» 猜你喜欢
三甲基碘化亚砜的氧化反应
已经有4人回复
请问下大家为什么这个铃木偶联几乎不反应呢
已经有5人回复
请问有评职称,把科研教学业绩算分排序的高校吗
已经有5人回复
孩子确诊有中度注意力缺陷
已经有12人回复
2025冷门绝学什么时候出结果
已经有3人回复
天津工业大学郑柳春团队欢迎化学化工、高分子化学或有机合成方向的博士生和硕士生加入
已经有4人回复
康复大学泰山学者周祺惠团队招收博士研究生
已经有6人回复
AI论文写作工具:是科研加速器还是学术作弊器?
已经有3人回复
论文投稿,期刊推荐
已经有4人回复
硕士和导师闹得不愉快
已经有13人回复
» 本主题相关商家推荐: (我也要在这里推广)
» 本主题相关价值贴推荐,对您同样有帮助:
请大家帮我分析下我选的内标物可以吗?
已经有4人回复
看看你所在实验室的试验氛围
已经有16人回复
大家看看这是个什么形貌呢?给个说法吧,是金的颗粒。
已经有27人回复
溶解再结晶的相变问题
已经有3人回复
2013年度的北京市自然科学基金开始申请了吗?
已经有3人回复
【求助】各位做铁电材料的大虾,帮帮小妹吧!关于铁酸铋的aging效应~
已经有11人回复
如何比较陶瓷的铁电性大小?
已经有6人回复
该怎么下英文文献—铁电存储器的抗辐射性能
已经有4人回复
压电、铁电陶瓷——大场致应变怎么产生?????????
已经有3人回复
2楼2012-03-28 16:04:27
sparkguo
新虫 (小有名气)
- 应助: 6 (幼儿园)
- 金币: 2300.8
- 帖子: 168
- 在线: 229.1小时
- 虫号: 504674
- 注册: 2008-02-16
- 专业: 无机非金属类光电信息与功
3楼2012-03-29 09:52:11
litao586
木虫 (正式写手)
doctor
- 应助: 8 (幼儿园)
- 金币: 2519.8
- 散金: 386
- 红花: 3
- 帖子: 448
- 在线: 553.4小时
- 虫号: 849621
- 注册: 2009-09-16
- 性别: GG
- 专业: 无机非金属类电介质与电解

4楼2012-03-29 17:04:04
2digua
木虫 (正式写手)
- 应助: 0 (幼儿园)
- 金币: 1058.1
- 散金: 188
- 红花: 1
- 帖子: 572
- 在线: 256.2小时
- 虫号: 686747
- 注册: 2009-01-03
- 专业: 无机合成和制备化学
5楼2012-03-30 10:10:02
litao586
木虫 (正式写手)
doctor
- 应助: 8 (幼儿园)
- 金币: 2519.8
- 散金: 386
- 红花: 3
- 帖子: 448
- 在线: 553.4小时
- 虫号: 849621
- 注册: 2009-09-16
- 性别: GG
- 专业: 无机非金属类电介质与电解

6楼2012-03-30 22:05:47
sxh-136
银虫 (初入文坛)
- 应助: 0 (幼儿园)
- 金币: 455.2
- 帖子: 39
- 在线: 41.8小时
- 虫号: 1147540
- 注册: 2010-11-15
- 专业: 凝聚态物性 II :电子结构
7楼2013-01-21 09:50:38
wu1008
金虫 (著名写手)
- 应助: 243 (大学生)
- 金币: 1486.4
- 散金: 176
- 红花: 14
- 帖子: 1788
- 在线: 197.6小时
- 虫号: 1859230
- 注册: 2012-06-14
- 性别: GG
- 专业: 凝聚态物性 II :电子结构
8楼2013-01-21 23:27:59

9楼2014-05-13 19:37:29
sparkguo
新虫 (小有名气)
- 应助: 6 (幼儿园)
- 金币: 2300.8
- 帖子: 168
- 在线: 229.1小时
- 虫号: 504674
- 注册: 2008-02-16
- 专业: 无机非金属类光电信息与功
10楼2014-05-14 08:20:48














回复此楼
2digua