| 查看: 1255 | 回复: 1 | |||
navy062
|
[求助]
介孔材料的脱附曲线一定会在4nm处出现假峰么?
|
|
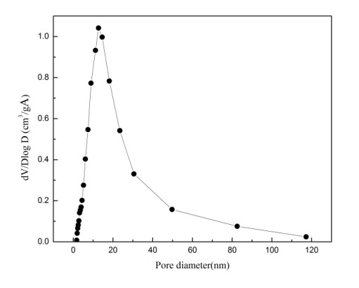
我的材料是水热法制备的二氧化钛纳米管,作出孔径分布图后,但是小木虫上有童鞋经常提醒做脱附孔径分布会在3.9纳米处出现假峰,但是我的没有出现,难道不是介孔?还是介孔不一定会有在4nm处产生假峰?在线等求解 先上图。还有请高手帮我分析一下第一幅图的孔类型么? 第一幅图是等温吸附脱附曲线,第二幅图是孔径分布图 等温吸附脱附曲线 孔径分布曲线(脱附作图) |
» 收录本帖的淘帖专辑推荐
实验技能 |
» 猜你喜欢
湖南大学招收锂离子电池、离子液体、高分子与凝胶材料、电催化方向博士生多名
已经有5人回复
关于五水硝酸铋还原得到单质铋的问题
已经有1人回复
物理化学论文润色/翻译怎么收费?
已经有285人回复
山东省青年基金什么时候拨款
已经有34人回复
T/FSI 177-2024 氟化工企业安全生产规范
已经有0人回复
CES投稿
已经有2人回复
如何掌握一门外语?
已经有0人回复
企业为什么一定要做“专精特新”认定?如何成为专精特新企业?
已经有5人回复
» 本主题相关商家推荐: (我也要在这里推广)
» 本主题相关价值贴推荐,对您同样有帮助:
介孔硅胶纳米粒的激光共聚焦实验问题
已经有30人回复
求高手帮小弟看看这个介孔材料的吸附曲线属于哪种类型?
已经有6人回复
我做介孔材料的时候发现材料的吸附脱附曲线不闭合。
已经有6人回复
氮吸附BET可以测试大孔吗??吸脱附曲线不闭合是怎么回事呢?
已经有7人回复
再谈介孔材料孔径与吸附等温线问题 希望各位大侠仙子能慷慨帮助 嘿嘿谢谢啦
已经有6人回复
【求助】N2吸脱附曲线中如何分别计算微孔面积和介孔面积呢
已经有17人回复
2楼2012-03-27 17:19:27














回复此楼

