| 查看: 388 | 回复: 3 | ||
tzh708金虫 (小有名气)
|
[求助]
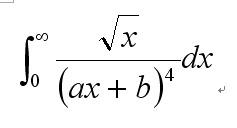
积分求助
|
|
![]() |
||
|
|
||
tzh708金虫 (小有名气)
|
||
![]() |
||
|
2楼2012-03-14 21:12:57
|
|
|
xxppyy木虫 (小有名气)
|
||
|
3楼2012-03-14 23:27:31
|
|
|
|
★ ★ ★ ★ ★ ★ ★ ★ ★ ★ ★ ★ ★ ★ ★
感谢参与,应助指数 +1 tzh708: 金币+15, ★有帮助 2012-03-16 12:51:09
|
||
|
4楼2012-03-15 08:22:08
|
|














回复此楼