| 查看: 1336 | 回复: 8 | ||
[求助]
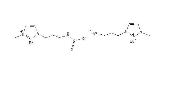
能帮我解释下-NHCOO -与NH3+部分会有什么样的相互作用?
|
|
能帮我解释下-NHCOO -与NH3+部分会有什么样的相互作用?他们之间的相互作用能影响咪唑环上的电子云分布吗? 离子液体吸收CO2后的分子形式 [ Last edited by 123lele on 2012-3-1 at 18:20 ] |
» 猜你喜欢
可生物降解聚酯正在重塑现代医疗器械
已经有0人回复
26届博士申请
已经有4人回复
有机高分子材料论文润色/翻译怎么收费?
已经有79人回复
PLLA 微球在生物医学领域的研究与应用
已经有1人回复
PLLA 微球的材料特性与制备工艺解析
已经有0人回复
医用聚己内酯(PCL)全解析:从两段式降解到组织工程应用
已经有0人回复
反相硅胶如何再生?
已经有1人回复
哈尔滨理工大学2026年研究生调剂,材料科学与化学工程学院研究生调剂
已经有3人回复
武汉一本高校招收材料、化学、高分子、纺织、生物相关专业硕士生
已经有0人回复
» 本主题相关商家推荐: (我也要在这里推广)

2楼2012-03-01 22:38:53
3楼2012-03-02 09:25:47

4楼2012-03-02 12:18:40
5楼2012-03-02 18:43:33

6楼2012-03-02 22:17:47
7楼2012-03-04 17:13:27

8楼2012-03-04 18:04:24
9楼2012-03-05 19:35:24













回复此楼
123lele
我没说完全没影响啊,我的意思是影响不会很大,但会有影响,你这个蓝移大吗?
那不就对了