24小时热门版块排行榜    

北京石油化工学院2026年研究生招生接收调剂公告
查看: 489  |  回复: 1

cenwanglai

新虫

老和山猥琐派九段

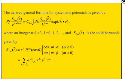
[交流] JCC上个月一篇文章的TOC 已有1人参与

这个,有点意思。但是我做不出来。
回复此楼

» 猜你喜欢

» 本主题相关价值贴推荐,对您同样有帮助:

已阅   回复此楼   关注TA 给TA发消息 送TA红花 TA的回帖

Joannaouc

实习版主

优秀!!有木有!!!优秀!!有木有!!!优秀!!有木有!!!优秀!!有木有!!!


小木虫(金币+0.5):给个红包,谢谢回帖
这种TOC也行啊。。。
2楼2012-03-02 13:46:24
已阅   回复此楼   关注TA 给TA发消息 送TA红花 TA的回帖
相关版块跳转 我要订阅楼主 cenwanglai 的主题更新
普通表情 高级回复 (可上传附件)
最具人气热帖推荐 [查看全部] 作者 回/看 最后发表
[考研] 288资源与环境专硕求调剂,不限专业,有学上就行 +24 lllllos 2026-03-30 24/1200 2026-04-01 08:48 by 闪烁的小快乐
[考研] 考研生物与医药调剂 +7 铁憨憨123425 2026-03-31 7/350 2026-04-01 08:45 by JourneyLucky
[考研] 初试301,代码085701环境工程,本硕一致,四六级已过,有二区一作,共发表5篇论文 +3 axibli 2026-04-01 3/150 2026-04-01 08:43 by i_cooler
[考研] 311(085601)求调剂 +12 liziyeyeye 2026-03-28 13/650 2026-04-01 00:34 by fmesaito
[考研] 一志愿北京科技大学材料学硕328分求调剂 +4 1段时间 2026-03-31 5/250 2026-03-31 19:56 by wxiongid
[考研] 已决定调剂院校 +8 JKSOIID 2026-03-26 8/400 2026-03-31 19:51 by mg1014
[考研] 318求调剂 +10 陈晨79 2026-03-30 10/500 2026-03-31 17:37 by 544594351
[考研] 求调剂 +9 akdhjs 2026-03-31 10/500 2026-03-31 17:14 by zhyzzh
[考研] 286求调剂 +5 丢掉懒惰 2026-03-27 8/400 2026-03-31 11:27 by Delta2012
[考研] 085601材料工程找调剂 +17 oatmealR 2026-03-29 18/900 2026-03-30 19:21 by Wang200018
[考研] 105500药学求调剂,一志愿山东大学药学,348分 +3 gr哈哈哈 2026-03-28 3/150 2026-03-30 18:56 by 源_2020
[考研] 324求调剂 +9 hanamiko 2026-03-26 11/550 2026-03-30 14:27 by JourneyLucky
[考研] 考研调剂 +5 Sanmu-124 2026-03-26 5/250 2026-03-30 13:36 by chemdavid
[考研] 一志愿华理,数一英一285求A区调剂 +8 AZMK 2026-03-25 12/600 2026-03-28 18:15 by AZMK
[考研] 308求调剂 +7 墨墨漠 2026-03-27 7/350 2026-03-28 07:43 by 热情沙漠
[考研] 315分求调剂 +7 26考研上岸版26 2026-03-26 7/350 2026-03-28 04:05 by fmesaito
[考研] 0703化学求调剂,各位老师看看我!!! +5 祁祺祺 2026-03-25 5/250 2026-03-27 21:44 by 东方猪猪
[考研] 复试调剂,一志愿南农083200食品科学与工程 +5 XQTJZ 2026-03-26 5/250 2026-03-27 14:49 by 狂炫麦当当
[考研] 调剂 +4 柚柚yoyo 2026-03-26 4/200 2026-03-26 20:43 by fmesaito
[考研] 材料专硕 335 分求调剂 +4 拒绝冷暴力 2026-03-25 4/200 2026-03-25 18:45 by haxia
信息提示
请填处理意见