| 查看: 249 | 回复: 0 | ||
[交流]
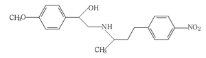
有用GCMS做苯乙醇胺A和川丁特罗trantinterol的吗?参考离子和断键的问题
|
» 抢金币啦!回帖就可以得到:
专任教师招聘
+1/176
上海87年GG诚求女友
+1/172
深圳大学水科学中心HydroS课题组招收化学/环境相关专业博士生1名(2026年入学)
+1/81
上海交通大学变革分子学中心申涛课题组2026秋季入学推荐-考核制博士招生(有机)
+1/78
扬州大学王赪胤教授课题组 2026级博硕士研究生生招生(电化学储能 / 光催化方向)
+1/76
26博士申请-药物化学方向
+1/74
中国科协青年托举(针对32岁青年人才的)是不是不搞了,25年都没有通知
+1/70
中国地质大学(武汉)地质学、地质资源与地质工程、资源与环境方向招生,请尽快联系!
+1/56
2026湖南科技大学化学化工学院招新能源电池方向博士生
+1/41
华中科技大学周英教授招博后
+1/35
北欧岗位制博士招生(锂离子电池正极材料和粘结剂)
+1/34
专科起点双非硕士,申博求建议
+1/21
帮导师招2026CSC博士(巴塞罗那自治大学UAB-CSC博士项目)
+1/18
顺磁计算交流
+1/14
墨子实验室理论模拟研究组诚聘海内外优秀人才
+1/10
2026 年南方医科大学基础医学院李琳课题组招收“申请-审核” 博士研究生
+1/5
河北工业大学层状材料与器件团队诚聘二维材料与原位电子显微学方向青年教师与博士后
+1/5
紧急招博士生报考
+1/3
生殖医学与子代健康全国重点实验室华鹏课题组招收博士后及研究生(长期有效)
+1/2
【博士后/科研助理招聘-北京理工大学-集成电路与电子学院-国家杰青团队】
+1/1













回复此楼