| 查看: 247 | 回复: 1 | |
[求助]
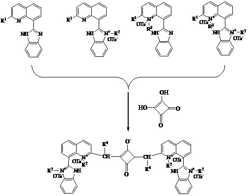
找高手请教,反应条件
|
|
|
|
|
![]() |
|
|
2楼2012-02-21 11:33:35
|
|













回复此楼
