| 查看: 836 | 回复: 2 | |||
jxlcwy铁杆木虫 (著名写手)
|
[求助]
介电常数
|
|
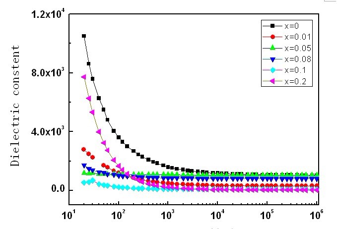
我想问下为什么我的这个介电常数在掺杂0.2的时候在频率20HZ到150HZ的低频下出现随频率增加而急速下降的趋势。为什么其他掺杂量没出现这种情况?本来应该所有的掺杂量都出现这种下降趋势。这个图形应该怎么来解释?从哪几方面呢?求大虾赐教。。BaTi(1-x)NixO3这个介电陶瓷体系。 |
» 收录本帖的淘帖专辑推荐
测试分析问题及采购 |
» 猜你喜欢
求调剂
已经有23人回复
301求调剂
已经有15人回复
304求调剂(085602,过四级,一志愿985)
已经有17人回复
302分求调剂 一志愿安徽大学085601
已经有12人回复
288环境专硕,求调材料方向
已经有23人回复
环境专硕调剂
已经有6人回复
22408 调剂材料
已经有6人回复
285求调剂
已经有12人回复
求调剂
已经有6人回复
085600材料与化工301分求调剂院校
已经有19人回复

jxlcwy
铁杆木虫 (著名写手)
- 应助: 0 (幼儿园)
- 金币: 8595.1
- 散金: 79
- 帖子: 1401
- 在线: 20.7小时
- 虫号: 1087217
- 注册: 2010-09-02
- 性别: GG
- 专业: 涂料

2楼2012-02-22 12:16:05
samsara20071214
铁杆木虫 (正式写手)
- 应助: 5 (幼儿园)
- 金币: 7562.4
- 散金: 58
- 红花: 4
- 帖子: 955
- 在线: 71.6小时
- 虫号: 511298
- 注册: 2008-02-25
- 性别: GG
- 专业: 功能陶瓷

3楼2012-02-22 13:44:10














回复此楼