| 查看: 255 | 回复: 2 | ||
jinzhulang金虫 (正式写手)
天使之翼
|
[求助]
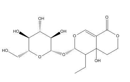
化合物查新(环烯醚萜类)
|
|
![]() |
||
|
|
||
夏天的雪2359铁杆木虫 (著名写手)
笨笨的小虫
|
||
![]() |
||
|
2楼2012-02-19 17:44:03
|
|
|
夏天的雪2359铁杆木虫 (著名写手)
笨笨的小虫
|
xiaoxiao270(金币+1): 3Q 2012-02-19 18:01:09
|
|
![]() |
||
|
3楼2012-02-19 17:52:17
|
|













回复此楼