| 查看: 262 | 回复: 1 | ||
[求助]
滤波器问题
|
|
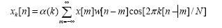
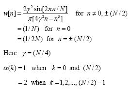
请各位帮忙,急急急!!!! 已经知道了滤波器的表达式,怎么样用MATLAB把他编出来呢??? x(n)是任意数字序列,采样率是8000Hz,把它经过一个滤波器组滤波,得到几个子带,公式如下面的图片所示, 怎么用matlab编出来呢?各位大侠给点提示,直接编出来更好,小弟感激不尽!!!这两天用,急切!急切!!! 滤波公式 窗口函数公式 |
» 猜你喜欢
依托企业入选了国家启明计划青年人才。有无高校可以引进的。
已经有13人回复
AI 太可怕了,写基金时,提出想法,直接生成的文字比自己想得深远,还有科学性
已经有11人回复
表哥与省会女结婚,父母去帮带孩子被省会女气回家生重病了
已经有9人回复
同年申请2项不同项目,第1个项目里不写第2个项目的信息,可以吗
已经有10人回复
依托企业入选了国家启明计划青年人才。有无高校可以引进的。
已经有11人回复


2楼2012-02-17 16:09:24













回复此楼