| 查看: 998 | 回复: 9 | ||
[求助]
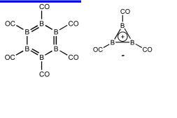
(BCO)3+阳离子环上有几个pi电子
|
|
请问(BCO)3+阳离子环上有几个pi电子,如何看的?CO向环提供几个电子?如何成键的? 文献(附件中高亮部分)分析(BCO)6分子如下: Each boron atom has formal sp2 hybridization involving a CB and two in-plane BB bonds, as well as one out-of-plane electron participating in the six-electron e delocalization. one out-of-plane electron 来自于哪个原子? 困扰我好久了,先谢谢大家了! |
» 本帖附件资源列表
-
欢迎监督和反馈:小木虫仅提供交流平台,不对该内容负责。
本内容由用户自主发布,如果其内容涉及到知识产权问题,其责任在于用户本人,如对版权有异议,请联系邮箱:xiaomuchong@tal.com - 附件 1 : Monocyclic Boron Carbonyls Novel Aromatic Compounds.pdf
2012-02-11 13:19:41, 101.66 K
» 猜你喜欢
298分 070300求调剂
已经有15人回复
硕士研究生调剂
已经有0人回复
物理化学论文润色/翻译怎么收费?
已经有123人回复
湖南大学张世国团队招26年第二批博士—离子液体、高分子与凝胶材料
已经有0人回复
湖南农业大学能源材料创新团队招收2025化学专业研究生(学硕)调剂
已经有0人回复
2026年西华大学材料学院-材料近净成形与表面技术研究团队-招收调剂研究生
已经有9人回复
调剂信息
已经有0人回复
河北农大生物与医药专业招收调剂,名额充足
已经有0人回复
齐鲁工业大学 国家重点实验室-新能源、锂离子电池、材料、化学方向
已经有0人回复
杰青/长江团队招收调剂
已经有0人回复
中南林业科技大学罗勇锋教授团队2026年招收材料类调剂研究生
已经有0人回复
» 本主题相关商家推荐: (我也要在这里推广)
» 本主题相关价值贴推荐,对您同样有帮助:
“文章故事”开版第一篇:基于TDDFT设计有机分子,以期实现太阳能的全谱吸收
已经有26人回复
电子衍射图上的衍射环(点)与XRD上峰的强度有没有相应的联系?
已经有3人回复
【讨论】计算3分子体系的相互作用能(1个中性分子+一个阳离子+一个阴离子)
已经有5人回复
nyzhaoyin
新虫 (正式写手)
- 应助: 27 (小学生)
- 金币: 1044.9
- 散金: 112
- 红花: 9
- 帖子: 681
- 在线: 241.5小时
- 虫号: 563016
- 注册: 2008-05-24
- 性别: GG
2楼2012-02-11 14:45:50
3楼2012-02-12 12:26:21
nyzhaoyin
新虫 (正式写手)
- 应助: 27 (小学生)
- 金币: 1044.9
- 散金: 112
- 红花: 9
- 帖子: 681
- 在线: 241.5小时
- 虫号: 563016
- 注册: 2008-05-24
- 性别: GG
4楼2012-02-12 15:13:47
5楼2012-02-12 18:50:20
nyzhaoyin
新虫 (正式写手)
- 应助: 27 (小学生)
- 金币: 1044.9
- 散金: 112
- 红花: 9
- 帖子: 681
- 在线: 241.5小时
- 虫号: 563016
- 注册: 2008-05-24
- 性别: GG
6楼2012-02-13 03:33:48
nyzhaoyin
新虫 (正式写手)
- 应助: 27 (小学生)
- 金币: 1044.9
- 散金: 112
- 红花: 9
- 帖子: 681
- 在线: 241.5小时
- 虫号: 563016
- 注册: 2008-05-24
- 性别: GG
7楼2012-02-13 03:49:51
nyzhaoyin
新虫 (正式写手)
- 应助: 27 (小学生)
- 金币: 1044.9
- 散金: 112
- 红花: 9
- 帖子: 681
- 在线: 241.5小时
- 虫号: 563016
- 注册: 2008-05-24
- 性别: GG
8楼2012-02-13 03:53:45
nyzhaoyin
新虫 (正式写手)
- 应助: 27 (小学生)
- 金币: 1044.9
- 散金: 112
- 红花: 9
- 帖子: 681
- 在线: 241.5小时
- 虫号: 563016
- 注册: 2008-05-24
- 性别: GG
9楼2012-02-13 03:59:14
10楼2012-02-13 10:20:14














回复此楼


