| ²é¿´: 3369 | »Ø¸´: 14 | ||
kybs123ͳæ (СÓÐÃûÆø)
|
[ÇóÖú]
Çó½Ì¹ØÓÚEVA£¨ÒÒÏ©-´×ËáÒÒÏ©¹²¾ÛÎÈÛµãÒÔ¼°È۳̵ÄÏà¹ØÎÊÌâ
|
|
ÈçÌ⣬ EVAÊÇPEºÍPVAµÄ¹²¾ÛÎ ÒÒÏ©-´×ËáÒÒÏ©¹²¾ÛÎï¼ò³ÆEVA£¬Ò»°ã´×ËáÒÒÏ©£¨VA£©º¬Á¿ÔÚ5%¡«40%¡£ ÍøÉϲ鵽˵VAº¬Á¿Ó°ÏìEVAµÄÈ۵㣬14%VAµÄEVAÈÛµãÔÚ80¡æ£¬²»ÖªµÀÊÇ·ñ׼ȷ¡£ ÏÖÔÚÏëÖªµÀÈÛµãÔÚ85-90¡æµÄEVAÆäVAº¬Á¿Ó¦¸ÃÊǶàÉÙ£¬»¹ÓÐ×î¸ßÈÛµãºÍ×îµÍÈÛµã¼äÏà²îÊÇ·ñºÜ´ó¡£ |
» ²ÂÄãϲ»¶
²ÄÁÏ¿ÆÑ§Ó빤³Ì320Çóµ÷¼Á£¬080500
ÒѾÓÐ4È˻ظ´
0703µ÷¼Á£¬Ò»Ö¾Ô¸Ìì½ò´óѧ319·Ö
ÒѾÓÐ17È˻ظ´
Ò»Ö¾Ô¸211£¬0703»¯Ñ§305·ÖÇóµ÷¼Á
ÒѾÓÐ5È˻ظ´
0703»¯Ñ§µ÷¼Á 348·Ö
ÒѾÓÐ6È˻ظ´
273Çóµ÷¼Á
ÒѾÓÐ11È˻ظ´
308Çóµ÷¼Á
ÒѾÓÐ5È˻ظ´
²ÄÁÏÓ뻯¹¤363ÇóÍÆ¼ö
ÒѾÓÐ11È˻ظ´
²ÄÁϵ÷¼Á
ÒѾÓÐ12È˻ظ´
ÉúÎïѧµ÷¼Á ¿Éµ÷¼Áµ½ÉúÎïÓëÒ½Ò©
ÒѾÓÐ3È˻ظ´
304Çóµ÷¼Á
ÒѾÓÐ11È˻ظ´
» ±¾Ö÷ÌâÏà¹Ø¼ÛÖµÌùÍÆ¼ö£¬¶ÔÄúͬÑùÓаïÖú:
¹ØÓÚÈÛµãµÄÒ»¸öÎÊÌâ
ÒѾÓÐ5È˻ظ´
¡¾ÇóÖú¡¿¹ØÓÚ»·ºý¾«ÈÛµãµÄÎÊÌâ
ÒѾÓÐ6È˻ظ´
¡¾ÇóÖú¡¿ÈÛµãÎÊÌâ
ÒѾÓÐ11È˻ظ´
¡¾ÇóÖú¡¿EVA¼Ó¹¤Î¶ÈÇóÖú¼°¸ß·Ö×Ó²ÄÁϼӹ¤Î¶ȺÍÈÛµã¹ØÏµ
ÒѾÓÐ11È˻ظ´
¡¾ÇóÖú¡¿Çë½ÌDSC ²â¶¨ÈÛµãÓöµ½µÄÎÊÌâ
ÒѾÓÐ12È˻ظ´
¡¾ÇóÖú¡¿ÈÛµãÎÊÌâ
ÒѾÓÐ8È˻ظ´
¡¾ÇóÖú¡¿ÓйØÈÛµãµÄÎÊÌâ
ÒѾÓÐ10È˻ظ´
¡¾ÇóÖú¡¿¹ØÓÚÈÛµã²â¶¨ÎÊÌâ
ÒѾÓÐ17È˻ظ´
¸Ðл²ÎÓ룬ӦÖúÖ¸Êý +1
wgs8136: »¶Ó³£À´~ 2012-02-07 21:24:17
wgs8136: »¶Ó³£À´~ 2012-02-07 21:24:17
|
±¾ÌûÄÚÈݱ»ÆÁ±Î |
2Â¥2012-02-07 15:18:20
zznjut
ÈÙÓþ°æÖ÷ (ÎÄ̳¾«Ó¢)
ÍòÀï¶ÀÐÐÖ®½ºþÉ¢ÈË
- PEPI: 16
- Ó¦Öú: 870 (²©ºó)
- ¹ó±ö: 2.734
- ½ð±Ò: 15769.4
- É¢½ð: 21901
- ºì»¨: 220
- ɳ·¢: 418
- Ìû×Ó: 17374
- ÔÚÏß: 3280.5Сʱ
- ³æºÅ: 837501
- ×¢²á: 2009-08-31
- רҵ: ³ÉÈ˽ÌÓýѧ
- ¹ÜϽ: ¸ß·Ö×Ó
¡¾´ð°¸¡¿Ó¦Öú»ØÌû
¡ï ¡ï
¸Ðл²ÎÓ룬ӦÖúÖ¸Êý +1
wgs8136(½ð±Ò+2): ~~ 2012-02-07 21:24:27
kybs123(½ð±Ò+10): ¡ï¡ï¡ïºÜÓаïÖú 2012-02-09 09:34:13
¸Ðл²ÎÓ룬ӦÖúÖ¸Êý +1
wgs8136(½ð±Ò+2): ~~ 2012-02-07 21:24:27
kybs123(½ð±Ò+10): ¡ï¡ï¡ïºÜÓаïÖú 2012-02-09 09:34:13

3Â¥2012-02-07 21:10:49
kybs123
ͳæ (СÓÐÃûÆø)
- Ó¦Öú: 0 (Ó×¶ùÔ°)
- ½ð±Ò: 495.8
- É¢½ð: 10
- Ìû×Ó: 200
- ÔÚÏß: 60.8Сʱ
- ³æºÅ: 1143881
- ×¢²á: 2010-11-11
- רҵ: ¹¦ÄÜÓëÖÇÄܸ߷Ö×Ó
4Â¥2012-02-07 22:22:22
zznjut
ÈÙÓþ°æÖ÷ (ÎÄ̳¾«Ó¢)
ÍòÀï¶ÀÐÐÖ®½ºþÉ¢ÈË
- PEPI: 16
- Ó¦Öú: 870 (²©ºó)
- ¹ó±ö: 2.734
- ½ð±Ò: 15769.4
- É¢½ð: 21901
- ºì»¨: 220
- ɳ·¢: 418
- Ìû×Ó: 17374
- ÔÚÏß: 3280.5Сʱ
- ³æºÅ: 837501
- ×¢²á: 2009-08-31
- רҵ: ³ÉÈ˽ÌÓýѧ
- ¹ÜϽ: ¸ß·Ö×Ó
¡ï
wgs8136(½ð±Ò+1): 2012-02-08 11:37:59
wgs8136(½ð±Ò+1): 2012-02-08 11:37:59
|
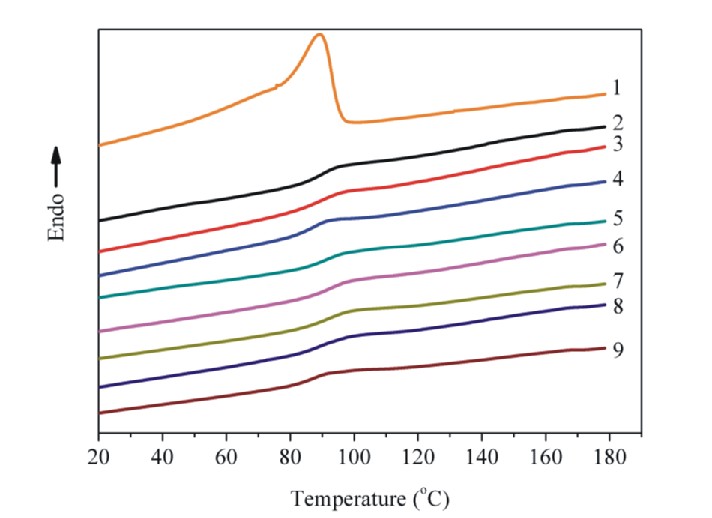
×Ý×ø±êÊÇÈÈìÊûÒâÒ壬²¢²»¶ÔÓ¦¡£ 2-9ÊǺ¬EVAµÄ¹²»ìÎï 1ÊÇ14%VAº¬Á¿µÄEVA |

5Â¥2012-02-07 23:17:35
kybs123
ͳæ (СÓÐÃûÆø)
- Ó¦Öú: 0 (Ó×¶ùÔ°)
- ½ð±Ò: 495.8
- É¢½ð: 10
- Ìû×Ó: 200
- ÔÚÏß: 60.8Сʱ
- ³æºÅ: 1143881
- ×¢²á: 2010-11-11
- רҵ: ¹¦ÄÜÓëÖÇÄܸ߷Ö×Ó
6Â¥2012-02-08 11:21:42
zznjut
ÈÙÓþ°æÖ÷ (ÎÄ̳¾«Ó¢)
ÍòÀï¶ÀÐÐÖ®½ºþÉ¢ÈË
- PEPI: 16
- Ó¦Öú: 870 (²©ºó)
- ¹ó±ö: 2.734
- ½ð±Ò: 15769.4
- É¢½ð: 21901
- ºì»¨: 220
- ɳ·¢: 418
- Ìû×Ó: 17374
- ÔÚÏß: 3280.5Сʱ
- ³æºÅ: 837501
- ×¢²á: 2009-08-31
- רҵ: ³ÉÈ˽ÌÓýѧ
- ¹ÜϽ: ¸ß·Ö×Ó
¡ï
wgs8136(½ð±Ò+1): 2012-02-08 11:38:03
wgs8136(½ð±Ò+1): 2012-02-08 11:38:03
|
żֻÓÐEVA-14µÄDSCÊý¾Ý VAº¬Á¿28 5 µÄż¶¼Ã»ÓРͼÉÏÄã¿ÉÒÔ×Ô¼ºÃ«¹ÀһϠÔʼÊý¾ÝÔڰ칫ÊÒµçÄÔÀïÃæ »¹Ã»»ØÈ¥ |

7Â¥2012-02-08 11:28:46
zznjut
ÈÙÓþ°æÖ÷ (ÎÄ̳¾«Ó¢)
ÍòÀï¶ÀÐÐÖ®½ºþÉ¢ÈË
- PEPI: 16
- Ó¦Öú: 870 (²©ºó)
- ¹ó±ö: 2.734
- ½ð±Ò: 15769.4
- É¢½ð: 21901
- ºì»¨: 220
- ɳ·¢: 418
- Ìû×Ó: 17374
- ÔÚÏß: 3280.5Сʱ
- ³æºÅ: 837501
- ×¢²á: 2009-08-31
- רҵ: ³ÉÈ˽ÌÓýѧ
- ¹ÜϽ: ¸ß·Ö×Ó
¡ï
wgs8136(½ð±Ò+1): »¹Ã»»ØÈ¥ÄØ£¿ 2012-02-08 11:38:11
wgs8136(½ð±Ò+1): »¹Ã»»ØÈ¥ÄØ£¿ 2012-02-08 11:38:11
|
±¾È˲»¸ã½á¾§£¬ÈõÎÊÒ»¾ä£¬È۵㲻¾ÍÊÇDSCµÄ·åֵζÈÂð Äã˵µÄÈ۳̿ÉÄÜÒªÓõ½²â±ÈÈÈÈܵķ½·¨°É |

8Â¥2012-02-08 11:30:43
kybs123
ͳæ (СÓÐÃûÆø)
- Ó¦Öú: 0 (Ó×¶ùÔ°)
- ½ð±Ò: 495.8
- É¢½ð: 10
- Ìû×Ó: 200
- ÔÚÏß: 60.8Сʱ
- ³æºÅ: 1143881
- ×¢²á: 2010-11-11
- רҵ: ¹¦ÄÜÓëÖÇÄܸ߷Ö×Ó
9Â¥2012-02-09 09:33:27
zznjut
ÈÙÓþ°æÖ÷ (ÎÄ̳¾«Ó¢)
ÍòÀï¶ÀÐÐÖ®½ºþÉ¢ÈË
- PEPI: 16
- Ó¦Öú: 870 (²©ºó)
- ¹ó±ö: 2.734
- ½ð±Ò: 15769.4
- É¢½ð: 21901
- ºì»¨: 220
- ɳ·¢: 418
- Ìû×Ó: 17374
- ÔÚÏß: 3280.5Сʱ
- ³æºÅ: 837501
- ×¢²á: 2009-08-31
- רҵ: ³ÉÈ˽ÌÓýѧ
- ¹ÜϽ: ¸ß·Ö×Ó

10Â¥2012-02-09 10:29:33














»Ø¸´´ËÂ¥