Znn3bq.jpeg
²é¿´: 3124  |  »Ø¸´: 12

willforever

Ìú¸Ëľ³æ (ÕýʽдÊÖ)


[½»Á÷] Éó¸åÈËÈÃÌṩËùÓÐÊý¾ÝµÄ±ê×¼²î£¬Ôõô°ì£¿Çó¾È£¡£¡£¡

ÈçÏ£º
please indicate the standard deviations for all experimental data reported.
Âé·³¸æÖªÐ¡µÜÔõô»Ø¸´¡£¡£¡£¡£¡£¡£
»Ø¸´´ËÂ¥

» ²ÂÄãϲ»¶

» ±¾Ö÷ÌâÏà¹Ø¼ÛÖµÌùÍÆ¼ö£¬¶ÔÄúͬÑùÓаïÖú:

» ÇÀ½ð±ÒÀ²£¡»ØÌû¾Í¿ÉÒԵõ½:

²é¿´È«²¿É¢½ðÌù

ÒÑÔÄ   »Ø¸´´ËÂ¥   ¹Ø×¢TA ¸øTA·¢ÏûÏ¢ ËÍTAºì»¨ TAµÄ»ØÌû

adist

Òø³æ (ÕýʽдÊÖ)


¡ï ¡ï ¡ï
Сľ³æ(½ð±Ò+0.5):¸ø¸öºì°ü£¬Ð»Ð»»ØÌû
seapass(½ð±Ò+2): ¹ÄÀøÐ³淢Ìû£¡¸ø¸öºì°ü£¡»¶Ó­³£À´ÂÛÎÄͶ¸å°æ£¡ 2012-02-05 00:39:54
ÄǾͼÆËãһϱê×¼²î¼ÓÔÚÄãµÄÊý¾Ýƽ¾ùÖµºóÃæ
2Â¥2012-02-04 11:30:32
ÒÑÔÄ   »Ø¸´´ËÂ¥   ¹Ø×¢TA ¸øTA·¢ÏûÏ¢ ËÍTAºì»¨ TAµÄ»ØÌû

willforever

Ìú¸Ëľ³æ (ÕýʽдÊÖ)


ÒýÓûØÌû:
Â¥: Originally posted by adist at 2012-02-04 11:30:32:
ÄǾͼÆËãһϱê×¼²î¼ÓÔÚÄãµÄÊý¾Ýƽ¾ùÖµºóÃæ

ÎÒµÄÊý¾Ý¶¼ÊÇÓÃͼÀ´±íʾµÄ£¬Ôõô¼ÓÄØ
3Â¥2012-02-04 12:32:09
ÒÑÔÄ   »Ø¸´´ËÂ¥   ¹Ø×¢TA ¸øTA·¢ÏûÏ¢ ËÍTAºì»¨ TAµÄ»ØÌû

KUN521

Ìú³æ (³õÈëÎÄ̳)


¡ï
Сľ³æ(½ð±Ò+0.5):¸ø¸öºì°ü£¬Ð»Ð»»ØÌû
Îó²î°ô°¡¡£¡£Çס£
4Â¥2012-02-04 17:11:24
ÒÑÔÄ   »Ø¸´´ËÂ¥   ¹Ø×¢TA ¸øTA·¢ÏûÏ¢ ËÍTAºì»¨ TAµÄ»ØÌû

gwt198211

½û³æ (СÓÐÃûÆø)

¡ï
Сľ³æ(½ð±Ò+0.5):¸ø¸öºì°ü£¬Ð»Ð»»ØÌû
±¾ÌûÄÚÈݱ»ÆÁ±Î

5Â¥2012-02-04 19:27:26
ÒÑÔÄ   »Ø¸´´ËÂ¥   ¹Ø×¢TA ¸øTA·¢ÏûÏ¢ ËÍTAºì»¨ TAµÄ»ØÌû

willforever

Ìú¸Ëľ³æ (ÕýʽдÊÖ)


ÒýÓûØÌû:
Â¥: Originally posted by gwt198211 at 2012-02-04 19:27:26:
¶Ô°¡£¬Äã×÷ͼ֮ǰҲӦ¸Ã¶ÔÊý¾Ý½øÐйýͳ¼Æ£¬ ¿Ï¶¨Óбê×¼²î°É£¬Äã×öµÄͼÉÏÓ¦¸Ã¶¼»á±ê³öÀ´µÄ¡£»¹ÓоÍÊÇÄãÒ²¿ÉÒÔ°ÑÕâ¸öдÔÚÕýÎÄÀï°¡¡£

ÎÒµÄͼÉÏûÓбê³öÀ´°¥  Ð¡µÜ±È½ÏÓÞ¶Û£¬Âé·³¾Ù¸öÀý×Ó£¬Ð»Ð»¡£¡£¡£
6Â¥2012-02-04 20:00:18
ÒÑÔÄ   »Ø¸´´ËÂ¥   ¹Ø×¢TA ¸øTA·¢ÏûÏ¢ ËÍTAºì»¨ TAµÄ»ØÌû

willforever

Ìú¸Ëľ³æ (ÕýʽдÊÖ)


ÒýÓûØÌû:
Â¥: Originally posted by KUN521 at 2012-02-04 17:11:24:
Îó²î°ô°¡¡£¡£Çס£

Ç×  ¿ÉÒÔ¾Ù¸öÀý×ÓÂð ½Ø¸öͼÎÒ¿´¿´£¬¶àлÁË¡¤¡¤¡¤¡¤¡¤
7Â¥2012-02-04 20:00:53
ÒÑÔÄ   »Ø¸´´ËÂ¥   ¹Ø×¢TA ¸øTA·¢ÏûÏ¢ ËÍTAºì»¨ TAµÄ»ØÌû

michaelcyq

Ìú¸Ëľ³æ (СÓÐÃûÆø)


¡ï
Сľ³æ(½ð±Ò+0.5):¸ø¸öºì°ü£¬Ð»Ð»»ØÌû
ÒýÓûØÌû:
7Â¥: Originally posted by willforever at 2012-02-04 20:00:53:
Ç×  ¿ÉÒÔ¾Ù¸öÀý×ÓÂð ½Ø¸öͼÎÒ¿´¿´£¬¶àлÁË¡¤¡¤¡¤¡¤¡¤

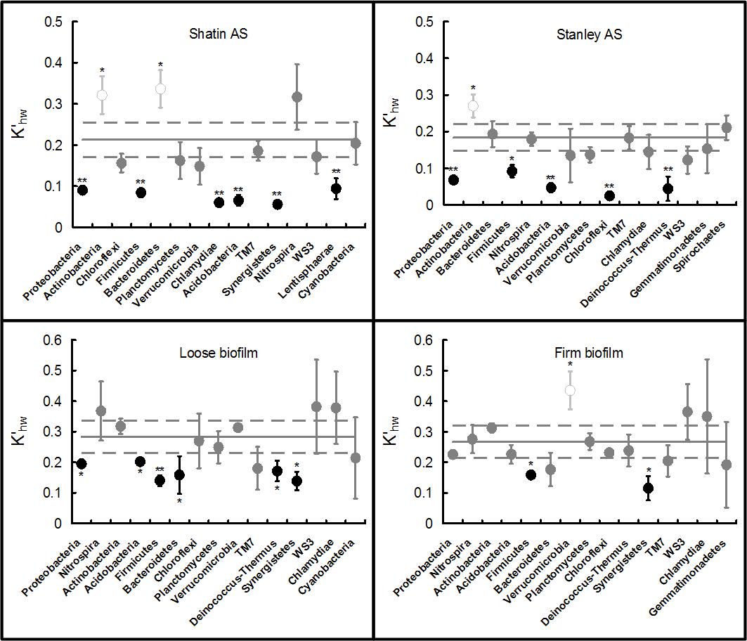
Èçͼ

Standard deviation

8Â¥2012-02-04 20:15:59
ÒÑÔÄ   »Ø¸´´ËÂ¥   ¹Ø×¢TA ¸øTA·¢ÏûÏ¢ ËÍTAºì»¨ TAµÄ»ØÌû

livilike

Ìú¸Ëľ³æ (Ö°Òµ×÷¼Ò)


9Â¥2012-02-04 20:25:29
ÒÑÔÄ   »Ø¸´´ËÂ¥   ¹Ø×¢TA ¸øTA·¢ÏûÏ¢ ËÍTAºì»¨ TAµÄ»ØÌû

willforever

Ìú¸Ëľ³æ (ÕýʽдÊÖ)


ÒýÓûØÌû:
Â¥: Originally posted by michaelcyq at 2012-02-04 20:15:59:
Èçͼ

Standard deviation

ÎҵIJ»ÊÇÖùÐÎͼ Êǵãͼ£¬¿ÉÒÔ¸æÖªÏÂÔõô»­Âð£¿
10Â¥2012-02-04 20:47:54
ÒÑÔÄ   »Ø¸´´ËÂ¥   ¹Ø×¢TA ¸øTA·¢ÏûÏ¢ ËÍTAºì»¨ TAµÄ»ØÌû

michaelcyq

Ìú¸Ëľ³æ (СÓÐÃûÆø)


¡ï
Сľ³æ(½ð±Ò+0.5):¸ø¸öºì°ü£¬Ð»Ð»»ØÌû
willforever(½ð±Ò+10): 2012-02-04 21:06:37
ÒýÓûØÌû:
10Â¥: Originally posted by willforever at 2012-02-04 20:47:54:
ÎҵIJ»ÊÇÖùÐÎͼ Êǵãͼ£¬¿ÉÒÔ¸æÖªÏÂÔõô»­Âð£¿

×ö·¨¶¼Ò»Ñù...
¾ÍÊÇÓÃÒ»¸öÏ߶ΰÑÎó²î·¶Î§±íʾ³öÀ´...

SD

11Â¥2012-02-04 20:56:54
ÒÑÔÄ   »Ø¸´´ËÂ¥   ¹Ø×¢TA ¸øTA·¢ÏûÏ¢ ËÍTAºì»¨ TAµÄ»ØÌû

willforever

Ìú¸Ëľ³æ (ÕýʽдÊÖ)


ÒýÓûØÌû:
Â¥: Originally posted by michaelcyq at 2012-02-04 20:56:54:
×ö·¨¶¼Ò»Ñù...
¾ÍÊÇÓÃÒ»¸öÏ߶ΰÑÎó²î·¶Î§±íʾ³öÀ´...

SD

лл
12Â¥2012-02-04 21:06:47
ÒÑÔÄ   »Ø¸´´ËÂ¥   ¹Ø×¢TA ¸øTA·¢ÏûÏ¢ ËÍTAºì»¨ TAµÄ»ØÌû

¶¶1102

Í­³æ (СÓÐÃûÆø)


¡ï
Сľ³æ: ½ð±Ò+0.5, ¸ø¸öºì°ü£¬Ð»Ð»»ØÌû
ÊÇÒªÇó Ìí¼Ó±ê׼ƫ²îµÄÖµ£¬Èç¹ûÄãÊÇÊý¾Ýͼȡƽ¾ùÖµ£¬¾ÍÒªÔÚͼÖÐͬʱÌîÈë±ê׼ƫ²î£¬Í¬Ê±ÎÄÖÐÒ²ÒªÌá¼°±ê×¼²îΪstandard deviations£¬²»ÊÇerror
13Â¥2018-10-13 23:19:23
ÒÑÔÄ   »Ø¸´´ËÂ¥   ¹Ø×¢TA ¸øTA·¢ÏûÏ¢ ËÍTAºì»¨ TAµÄ»ØÌû
Ïà¹Ø°æ¿éÌø×ª ÎÒÒª¶©ÔÄÂ¥Ö÷ willforever µÄÖ÷Ìâ¸üÐÂ
×î¾ßÈËÆøÈÈÌûÍÆ¼ö [²é¿´È«²¿] ×÷Õß »Ø/¿´ ×îºó·¢±í
[¿¼ÑÐ] Ò»Ö¾Ô¸211£¬»¯Ñ§Ñ§Ë¶£¬310·Ö£¬±¾¿ÆÖصãË«·Ç£¬Çóµ÷¼Á +19 ŬÁ¦·Ü¶·112 2026-04-04 20/1000 2026-04-10 12:15 by pengliang8036
[»ù½ðÉêÇë] Óб¬ÁÏ£¬Ò»¸öÇàÄê½ÌʦÂô·¿µÃ400Íò£¬È»ºó»»ÁËÒ»¸öËÄÇàñ×Ó +9 babu2015 2026-04-08 9/450 2026-04-10 11:43 by ËÕ¶«ÆÂ¶þÊÀ
[¿¼ÑÐ] 269Çóµ÷¼Á +10 °¡°¡ÎÒÎÒ 2026-04-07 10/500 2026-04-10 10:38 by ¸ßά´º
[¿¼ÑÐ] 292Çóµ÷¼Á +9 ЦЦԬ 2026-04-09 9/450 2026-04-10 10:05 by LHGeng
[¿¼ÑÐ] 301Çóµ÷¼Á +6 ¾²¾²ÏëÏë 2026-04-05 6/300 2026-04-10 09:15 by Delta2012
[¿¼ÑÐ] 0854µ÷¼Á +7 950824he@ 2026-04-09 7/350 2026-04-10 09:10 by Delta2012
[¿¼ÑÐ] 086003µ÷¼ÁÇóÖú +19 ËÕß®Íò 2026-04-09 20/1000 2026-04-09 20:48 by bljnqdcc
[¿¼ÑÐ] Ò»Ö¾Ô¸Äϲý´óѧ£¬085600£¬344·ÖÇóµ÷¼Á +11 µ÷¼ÁÉϰ¶«^ 2026-04-05 12/600 2026-04-08 16:17 by luoyongfeng
[¿¼ÑÐ] 264Çóµ÷¼Á +11 ÂóС¶£µ± 2026-04-07 11/550 2026-04-08 16:05 by Ò»Ö»ºÃ¹û×Ó?
[¿¼ÑÐ] Çóµ÷¼Á +9 ÔÂ@163.com 2026-04-07 11/550 2026-04-08 14:48 by qlm5820
[¿¼ÑÐ] 287Çóµ÷¼Á +6 Fnhc 2026-04-07 6/300 2026-04-08 10:05 by xingguangj
[¿¼ÑÐ] 259Çóµ÷¼Á +5 ¾Í°®³ÔÍÁ¶¹Ñ½Ñ½ 2026-04-07 5/250 2026-04-07 22:40 by JourneyLucky
[¿¼ÑÐ] 22408 µ÷¼Á²ÄÁÏ +7 ÎÒ½Ðez 2026-04-06 8/400 2026-04-07 17:12 by À¶ÔÆË¼Óê
[¿¼ÑÐ] ¹¤¿Æ370Çóµ÷¼Á +3 äçÐļ弦µ° 2026-04-05 3/150 2026-04-06 10:55 by ÕâÊÇÒ»¸öÎÞÁĵÄê
[¿¼ÑÐ] ²ÄÁÏר˶322·Ö +10 ¹þ¹þ¹þºðºðºð¹þ 2026-04-04 10/500 2026-04-05 21:22 by ѧԱ8dgXkO
[¿¼ÑÐ] ÇóÉúÎïѧѧ˶µ÷¼Á¡ª¡ª364·Ö +7 ÔÆ¶äåÞÍäÖ¸ÄÏ 2026-04-04 7/350 2026-04-04 22:49 by zhyzzh
[¿¼ÑÐ] 295Çóµ÷¼Á +4 AÄãºÃÑо¿Éú 2026-04-04 5/250 2026-04-04 22:46 by yu221
[¿¼ÑÐ] 321Çóµ÷¼Á +6 ÈÏÕæÇóÉÏѧ 2026-04-03 6/300 2026-04-04 19:51 by dongzh2009
[¿¼ÑÐ] »¯¹¤Çóµ÷¼Á +11 ÀóÏã֥ʿҬÄÌ 2026-04-03 11/550 2026-04-03 22:06 by à£à£à£0119
[¿¼ÑÐ] 294Çóµ÷¼Á +6 Grey_Ey 2026-04-03 6/300 2026-04-03 20:46 by ÐÀϲ777
ÐÅÏ¢Ìáʾ
ÇëÌî´¦ÀíÒâ¼û