| 查看: 5610 | 回复: 61 | |||||
touchhappy金虫 (著名写手)
|
[交流]
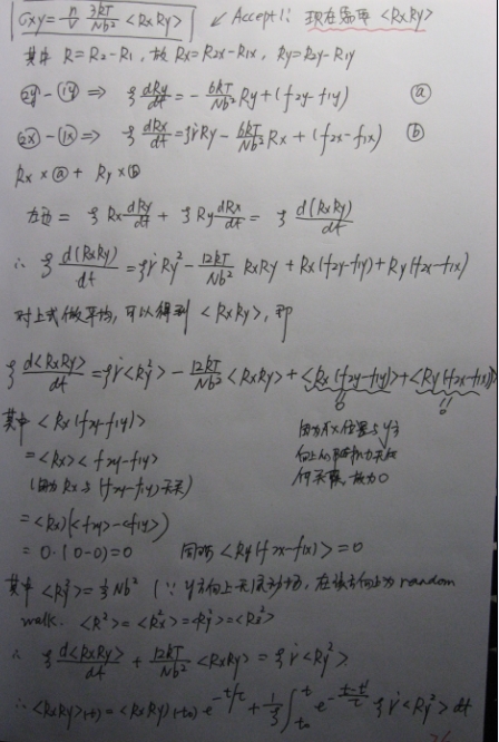
晒晒上课时记得的高分子物理笔记 已有55人参与
|
考研 | 化学资料 | 收藏 |
» 本帖已获得的红花(最新10朵)
» 猜你喜欢
0855求调剂材料
已经有12人回复
297分083200求助
已经有7人回复
070300化学学硕311分求调剂
已经有10人回复
专硕0854初试考材科基,求调剂
已经有8人回复
0857大类环境工程B区求调剂
已经有3人回复
0817化学工程与技术求调剂,一志愿中海洋319
已经有14人回复
0703化学调剂325分
已经有11人回复
286求调剂
已经有8人回复
求调剂
已经有5人回复
生物学308分求调剂(一志愿华东师大)
已经有4人回复
» 本主题相关商家推荐: (我也要在这里推广)
» 本主题相关价值贴推荐,对您同样有帮助:
【笔记】高分子物理及化学笔记
已经有135人回复
请问怎么才能看好高分子物理这本书?
已经有6人回复
【讨论】怎样学好高分子化学与物理?
已经有44人回复
【求助】《功能高分子材料》教案或教学笔记
已经有4人回复
【求助】中科院考研 高分子物理参考教材的困惑
已经有12人回复
【素材】高分子物理复习笔记
已经有28人回复
【资源】聚合物化学(罗契斯特大学课程笔记)
已经有14人回复

nesimon
至尊木虫 (知名作家)
一蓑烟雨——知行
- PEPI: 5
- 应助: 143 (高中生)
- 贵宾: 1.753
- 金币: 17543.8
- 散金: 4929
- 红花: 57
- 沙发: 47
- 帖子: 5364
- 在线: 1589.2小时
- 虫号: 953911
- 注册: 2010-02-08
- 性别: GG
- 专业: 聚合物共混与复合材料

2楼2012-01-22 23:30:44
touchhappy
金虫 (著名写手)
- PEPI: 30
- 应助: 49 (小学生)
- 金币: 1367.9
- 散金: 605
- 红花: 95
- 帖子: 1650
- 在线: 520.5小时
- 虫号: 924145
- 注册: 2009-12-09
- 性别: MM
- 专业: 高分子物理与高分子物理化

3楼2012-01-23 01:03:09
![]() |
4楼2012-01-23 01:15:57

5楼2012-01-23 09:04:30
6楼2012-01-23 12:11:52
xiaomingabc
银虫 (正式写手)
- 应助: 15 (小学生)
- 金币: 66.4
- 散金: 707
- 红花: 3
- 帖子: 698
- 在线: 405.7小时
- 虫号: 1317926
- 注册: 2011-06-08
- 性别: GG
- 专业: 应用高分子化学与物理

7楼2012-01-23 12:18:39
lichpistol
金虫 (小有名气)
- 应助: 5 (幼儿园)
- 金币: 1271.6
- 红花: 2
- 帖子: 83
- 在线: 184.1小时
- 虫号: 1191392
- 注册: 2011-01-17
- 性别: GG
- 专业: 高分子物理与高分子物理化

8楼2012-01-23 13:15:37

9楼2012-01-23 13:19:09
adiu
木虫 (小有名气)
- 应助: 8 (幼儿园)
- 金币: 8193.1
- 散金: 126
- 红花: 4
- 帖子: 281
- 在线: 332.5小时
- 虫号: 1173696
- 注册: 2010-12-20
- 专业: 智能材料
10楼2012-01-23 17:35:08














回复此楼
xiaomingabc