| 查看: 1193 | 回复: 2 | ||
zhangjiang7002金虫 (正式写手)
|
[求助]
求助红外光谱解读
|
|
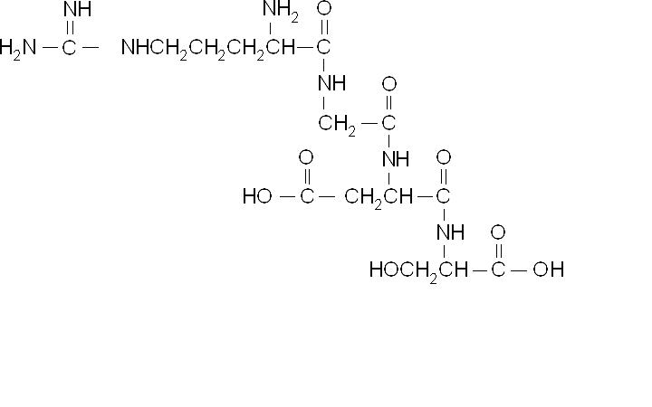
今天测了新作的探针的红外光谱但是苦于不能解释,希望各位大侠,帮忙分析一下谱上峰值代表的键,附上图谱和信息 左边两幅是金纳米材料 右边第一副是金棒包裹CTAB 右边第二幅图是金棒+PEG+肽段(pEG含有巯基,和羧基,通过金巯键和酰胺键连接三种物质) CTAB 肽段 |
» 猜你喜欢
求收留
已经有5人回复
375求调剂
已经有4人回复
340求调剂
已经有6人回复
298求调剂
已经有3人回复
085601材料工程找调剂
已经有9人回复
考研调剂
已经有4人回复
面上5B能上会吗?
已经有3人回复
求调剂,一志愿 南京航空航天大学 ,080500材料科学与工程学硕,总分289分
已经有7人回复
086000生物与医药调剂
已经有9人回复
343求调剂
已经有6人回复
» 本主题相关商家推荐: (我也要在这里推广)
» 本主题相关价值贴推荐,对您同样有帮助:
求助红外光谱图分析
已经有7人回复
求助 红外光谱分析
已经有15人回复
【求助】红外光谱,对物质组成不是很确定。请教大家!!
已经有7人回复
【求助】红外光谱图,谁能帮我分析一下,有什么特征峰?
已经有24人回复
【求助】红外光谱 检测问题?
已经有7人回复
【求助】求助:红外光谱数据处理问题?
已经有4人回复
【求助】红外光谱图评价
已经有9人回复
【求助】红外光谱能定量分析吗?
已经有35人回复
【求助】红外光谱分析
已经有10人回复
【求助】红外光谱
已经有4人回复

2楼2011-12-28 22:40:13
zhangjiang7002
金虫 (正式写手)
- 应助: 0 (幼儿园)
- 金币: 85.6
- 散金: 354
- 红花: 7
- 帖子: 304
- 在线: 122.5小时
- 虫号: 781922
- 注册: 2009-05-29
- 性别: GG
- 专业: 生物、医学光子学

3楼2011-12-29 11:13:05














回复此楼
