| 查看: 489 | 回复: 1 | ||
xiaowei4133金虫 (正式写手)
|
[求助]
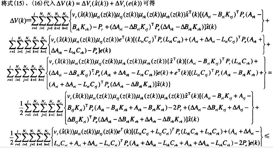
一篇控制论文数学推导金艳,刘毅《一类不确定离散切换模糊系统的鲁棒输出反馈控制》
|
|
我在金艳,刘毅《一类不确定离散切换模糊系统的鲁棒输出反馈控制》中,证明过程中有一步推导过程,自己没有看明白,希望哪位大侠指点迷经,不胜感激,详情请看附件,困惑了好久,真的希望大牛指点一下 [ 来自科研家族 控制&图像家族 ] |
» 本帖附件资源列表
-
欢迎监督和反馈:小木虫仅提供交流平台,不对该内容负责。
本内容由用户自主发布,如果其内容涉及到知识产权问题,其责任在于用户本人,如对版权有异议,请联系邮箱:xiaomuchong@tal.com - 附件 1 : 一类不确定离散切换模糊系统的鲁棒输出反馈控制-金艳,刘毅(辽宁工业大学学报).caj
2011-12-28 13:02:34, 308.54 K
» 猜你喜欢
球磨粉体时遇到了大的问题,请指教!
已经有14人回复
售SCI一区文章,我:8 O5 51O 54,科目齐全,可+急
已经有4人回复
售SCI一区文章,我:8 O5 51O 54,科目齐全,可+急
已经有5人回复
售SCI一区文章,我:8 O5 51O 54,科目齐全,可+急
已经有5人回复
售SCI一区文章,我:8 O5 51O 54,科目齐全,可+急
已经有4人回复
售SCI一区文章,我:8 O5 51O 54,科目齐全,可+急
已经有10人回复
情人节自我反思:在爱情中有过遗憾吗?
已经有5人回复
售SCI一区文章,我:8 O5 51O 54,科目齐全,可+急
已经有6人回复
售SCI一区文章,我:8 O5 51O 54,科目齐全,可+急
已经有8人回复
江汉大学解明教授课题组招博士研究生/博士后
已经有3人回复
xiaowei4133
金虫 (正式写手)
- 应助: 11 (小学生)
- 金币: 1079.4
- 散金: 390
- 红花: 1
- 帖子: 592
- 在线: 165.9小时
- 虫号: 1322426
- 注册: 2011-06-13
- 性别: GG
- 专业: 控制理论与方法
2楼2011-12-30 16:14:36













回复此楼