24小时热门版块排行榜    

北京石油化工学院2026年研究生招生接收调剂公告
查看: 11907  |  回复: 15

zhangjq058

铜虫 (小有名气)


[交流] 应变速率和变形速度(轧制速度,锻压速度等)如何换算?

小弟有个问题请教大家:
在材料加工的研究中,习惯用的是应变速率,单位为s-1,例如0.01s-1,10s-1。但是在实际生产中通常是用的变形速度,单位多为m/s,比如轧制速度为2m/s,锻压/挤压速度为1m/s等。请问应变速率和变形速度之间如何换算?
回复此楼

» 收录本帖的淘帖专辑推荐

贝尔杂货铺

» 猜你喜欢

» 本主题相关商家推荐: (我也要在这里推广)

» 本主题相关价值贴推荐,对您同样有帮助:

» 抢金币啦!回帖就可以得到:

查看全部散金贴

已阅   回复此楼   关注TA 给TA发消息 送TA红花 TA的回帖
回帖支持 ( 显示支持度最高的前 50 名 )

lhj8731

金虫 (小有名气)



小木虫(金币+0.5):给个红包,谢谢回帖
一直疑惑这个问题,期待权威解答啊
3楼2011-12-28 08:29:33
已阅   回复此楼   关注TA 给TA发消息 送TA红花 TA的回帖

小兰花

银虫 (著名写手)



小木虫(金币+0.5):给个红包,谢谢回帖
我也有同样的疑问
关注这个问题!
4楼2011-12-28 08:43:11
已阅   回复此楼   关注TA 给TA发消息 送TA红花 TA的回帖

bcsnow

铁杆木虫 (著名写手)


★ ★
小木虫(金币+0.5):给个红包,谢谢回帖
zhyq8767(金币+1): 感谢交流! 2011-12-29 10:24:23
zhangjq058(金币+1): 2011-12-29 21:08:53
轧制速度不是变形速度,变形速度应该是沿加工方向的变形量除以时间,单位也是mm/mm/s,和应变速率相同,应变速率可能是沿应力方向吧,与加工方向可能不同。如轧制时,变形只是垂直板的方向压薄,而应力与辊的圆周还要有关系。
5楼2011-12-28 23:39:51
已阅   回复此楼   关注TA 给TA发消息 送TA红花 TA的回帖

donatello

金虫 (著名写手)



小木虫(金币+0.5):给个红包,谢谢回帖
zhyq8767: 感谢你的积极参与 2012-02-28 08:03:00
zhangjq058(金币+1): 2012-02-29 10:07:48
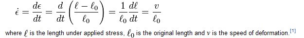
呵呵,这个问题其实很简单,用变形速率(单位m/s)除以一个标距段的长度(单位m),就可以得到应变速率(单位1/s)了。具体的力学分析见下图:

变形速率与应变率的转化关系

10楼2012-02-28 02:07:13
已阅   回复此楼   关注TA 给TA发消息 送TA红花 TA的回帖

xunan1985

木虫 (正式写手)



小木虫(金币+0.5):给个红包,谢谢回帖
引用回帖:
10楼: Originally posted by donatello at 2012-02-28 02:07:13:
呵呵,这个问题其实很简单,用变形速率(单位m/s)除以一个标距段的长度(单位m),就可以得到应变速率(单位1/s)了。具体的力学分析见下图:

变形 ...

你好,我最近也是疑惑这个问题,你能把这个公式的参考文献发给我么。谢谢啦。邮箱是:xunan20032389@gmail.com
11楼2012-02-28 10:37:25
已阅   回复此楼   关注TA 给TA发消息 送TA红花 TA的回帖

jokett

银虫 (小有名气)



小木虫: 金币+0.5, 给个红包,谢谢回帖
引用回帖:
6楼: Originally posted by louis2000 at 2011-12-29 10:21:57
在轧制中有专门的计算公式的,有一篇文献详细介绍过,可以下载下来研究研究

我最近也正在做这方面的问题,能不能把这篇文献发到我邮箱里?邮箱是jiyq790@126.com,谢谢啊!
15楼2012-09-06 08:53:57
已阅   回复此楼   关注TA 给TA发消息 送TA红花 TA的回帖
普通回帖

gzliu

金虫 (小有名气)



小木虫(金币+0.5):给个红包,谢谢回帖
应变速率乘应变量几位变形速度。
2楼2011-12-27 13:01:18
已阅   回复此楼   关注TA 给TA发消息 送TA红花 TA的回帖

louis2000

木虫 (正式写手)



小木虫(金币+0.5):给个红包,谢谢回帖
zhangjq058(金币+1): 2011-12-29 21:09:55
在轧制中有专门的计算公式的,有一篇文献详细介绍过,可以下载下来研究研究
6楼2011-12-29 10:21:57
已阅   回复此楼   关注TA 给TA发消息 送TA红花 TA的回帖

jackiejia

铁杆木虫 (正式写手)



小木虫(金币+0.5):给个红包,谢谢回帖
zhangjq058(金币+1): 2011-12-29 21:10:50
轧制速度是带材沿纵向运行的速度,一般用轧辊切线方向的速度表示。这个工程上的意义比较大,因为能够表示生产效率,但是与变形速度是不一样的。轧制的变形一般习惯用压下量表示。在不考虑宽展的情况下,变形速度和轧制速度可以用塑性变形的体积不变原理计算。
7楼2011-12-29 10:41:40
已阅   回复此楼   关注TA 给TA发消息 送TA红花 TA的回帖

zhangjq058

铜虫 (小有名气)


引用回帖:
6楼: Originally posted by louis2000 at 2011-12-29 10:21:57:
在轧制中有专门的计算公式的,有一篇文献详细介绍过,可以下载下来研究研究

能否列出文献的名称?
8楼2011-12-29 21:12:46
已阅   回复此楼   关注TA 给TA发消息 送TA红花 TA的回帖

ral_raul

新虫 (初入文坛)



小木虫(金币+0.5):给个红包,谢谢回帖
可以参考金兹伯格编写的《板带轧制工艺学》,194页有轧制变形速率的计算公式
9楼2012-02-16 12:41:35
已阅   回复此楼   关注TA 给TA发消息 送TA红花 TA的回帖

donatello

金虫 (著名写手)



小木虫(金币+0.5):给个红包,谢谢回帖
毛猴(金币+1): 感谢交流! 2012-02-28 16:27:29
zhangjq058(金币+1): 2012-02-29 10:06:58
引用回帖:
11楼: Originally posted by xunan1985 at 2012-02-28 03:37:25:
你好,我最近也是疑惑这个问题,你能把这个公式的参考文献发给我么。谢谢啦。邮箱是:xunan20032389@gmail.com

呵呵,那个不是什么参考文献,是维基百科~
12楼2012-02-28 16:12:30
已阅   回复此楼   关注TA 给TA发消息 送TA红花 TA的回帖

zhangjq058

铜虫 (小有名气)


引用回帖:
: Originally posted by ral_raul at 2012-02-16 12:41:35:
可以参考金兹伯格编写的《板带轧制工艺学》,194页有轧制变形速率的计算公式

多谢,ral
13楼2012-02-29 10:08:45
已阅   回复此楼   关注TA 给TA发消息 送TA红花 TA的回帖

gmlmike

木虫 (小有名气)



小木虫: 金币+0.5, 给个红包,谢谢回帖
应变速率是单位时间的应变量,与轧件的厚度有方向变化有关系,轧制速度是轧辊的转速,两者之间没有直接的联系吧!
14楼2012-03-28 09:02:03
已阅   回复此楼   关注TA 给TA发消息 送TA红花 TA的回帖

zhangyu88309

金虫 (小有名气)



小木虫: 金币+0.5, 给个红包,谢谢回帖
内容已删除
16楼2015-06-15 17:07:24
已阅   回复此楼   关注TA 给TA发消息 送TA红花 TA的回帖
相关版块跳转 我要订阅楼主 zhangjq058 的主题更新
普通表情 高级回复 (可上传附件)
最具人气热帖推荐 [查看全部] 作者 回/看 最后发表
[考研] 348求调剂 +5 wukira 2026-04-04 5/250 2026-04-05 11:05 by xiayan13521
[考研] 323求调剂(计算机视觉和大模型项目经历) +3 chaoxiicy 2026-03-31 3/150 2026-04-05 10:33 by zhq0425
[考研] 一志愿华南师范361分,化学求调剂 +7 Nicole88888 2026-04-01 7/350 2026-04-04 18:28 by macy2011
[考研] 一志愿哈尔滨工业大学085600英一数二337分求调剂 +11 lyz0427 2026-04-03 11/550 2026-04-04 15:31 by dongzh2009
[考研] 357求调剂 +13 1050389037 2026-04-03 13/650 2026-04-03 22:27 by 无际的草原
[考研] 295求调剂 +6 FZAC123 2026-04-03 6/300 2026-04-03 21:01 by zhq0425
[考研] 316求调剂 +14 舟自梗 2026-04-01 18/900 2026-04-03 10:28 by linyelide
[考研] 生物学求调剂 +3 15064154688 2026-04-03 3/150 2026-04-03 10:28 by macy2011
[考研] 085600 295分求调剂 +19 W55j 2026-03-30 23/1150 2026-04-03 09:53 by 千千运气
[考研] 求调剂22408 288分 +5 new382 2026-04-02 5/250 2026-04-03 09:13 by 醉在风里
[考研] 一志愿南开大学0710生物学359求调剂 +6 兔兔兔111223314 2026-03-29 8/400 2026-04-02 22:37 by louise0220
[考研] 085600,320分求调剂 +6 大馋小子 2026-04-02 6/300 2026-04-02 21:54 by dongzh2009
[考研] 材料工程322分 +8 哈哈哈吼吼吼哈 2026-04-01 8/400 2026-04-02 11:53 by 3041
[考研] 一志愿北交大材料工程总分358 +3 cs0106 2026-04-02 5/250 2026-04-02 11:37 by olim
[考研] 材料调剂 +11 一样YWY 2026-03-31 11/550 2026-04-01 22:25 by zhouyuwinner
[考研] 材料调剂 +11 一样YWY 2026-03-31 11/550 2026-04-01 11:35 by wangjy2002
[考研] 326求调剂 +4 崽崽仔 2026-03-31 4/200 2026-04-01 09:58 by 我的船我的海
[考研] 求调剂,一志愿北林食品与营养095500,301分,已过六级,有科研经历 +4 快乐储蓄罐 2026-03-31 4/200 2026-04-01 09:26 by JourneyLucky
[考研] 070300化学专业279调剂 +10 哈哈哈^_^ 2026-03-31 10/500 2026-03-31 23:13 by liu823948201
[考研] 本2一志愿C9-333分,材料科学与工程,求调剂 +9 升升不降 2026-03-31 9/450 2026-03-31 18:01 by 无际的草原
信息提示
请填处理意见