版块导航
正在加载中...
客户端APP下载
论文辅导
调剂小程序
登录
注册
帖子
帖子
用户
本版
应《网络安全法》要求,自2017年10月1日起,未进行实名认证将不得使用互联网跟帖服务。为保障您的帐号能够正常使用,请尽快对帐号进行手机号验证,感谢您的理解与支持!
24小时热门版块排行榜
>
论坛更新日志
(3353)
>
虫友互识
(379)
>
文献求助
(316)
>
导师招生
(140)
>
考博
(132)
>
硕博家园
(97)
>
博后之家
(64)
>
绿色求助(高悬赏)
(58)
>
休闲灌水
(53)
>
基金申请
(51)
>
考研
(48)
>
教师之家
(42)
>
论文投稿
(35)
>
招聘信息布告栏
(34)
>
公派出国
(33)
>
找工作
(29)
小木虫论坛-学术科研互动平台
»
化学化工区
»
电化学
»
电分析测试
»
给所有的金币求分析EIS
5
1/1
返回列表
查看: 935 | 回复: 4
只看楼主
@他人
存档
新回复提醒
(忽略)
收藏
在APP中查看
ichbinyang
铜虫
(小有名气)
应助: 0
(幼儿园)
金币: 63.3
红花: 1
帖子: 138
在线: 56.8小时
虫号: 901662
注册: 2009-11-12
专业: 环境工程
[
求助
]
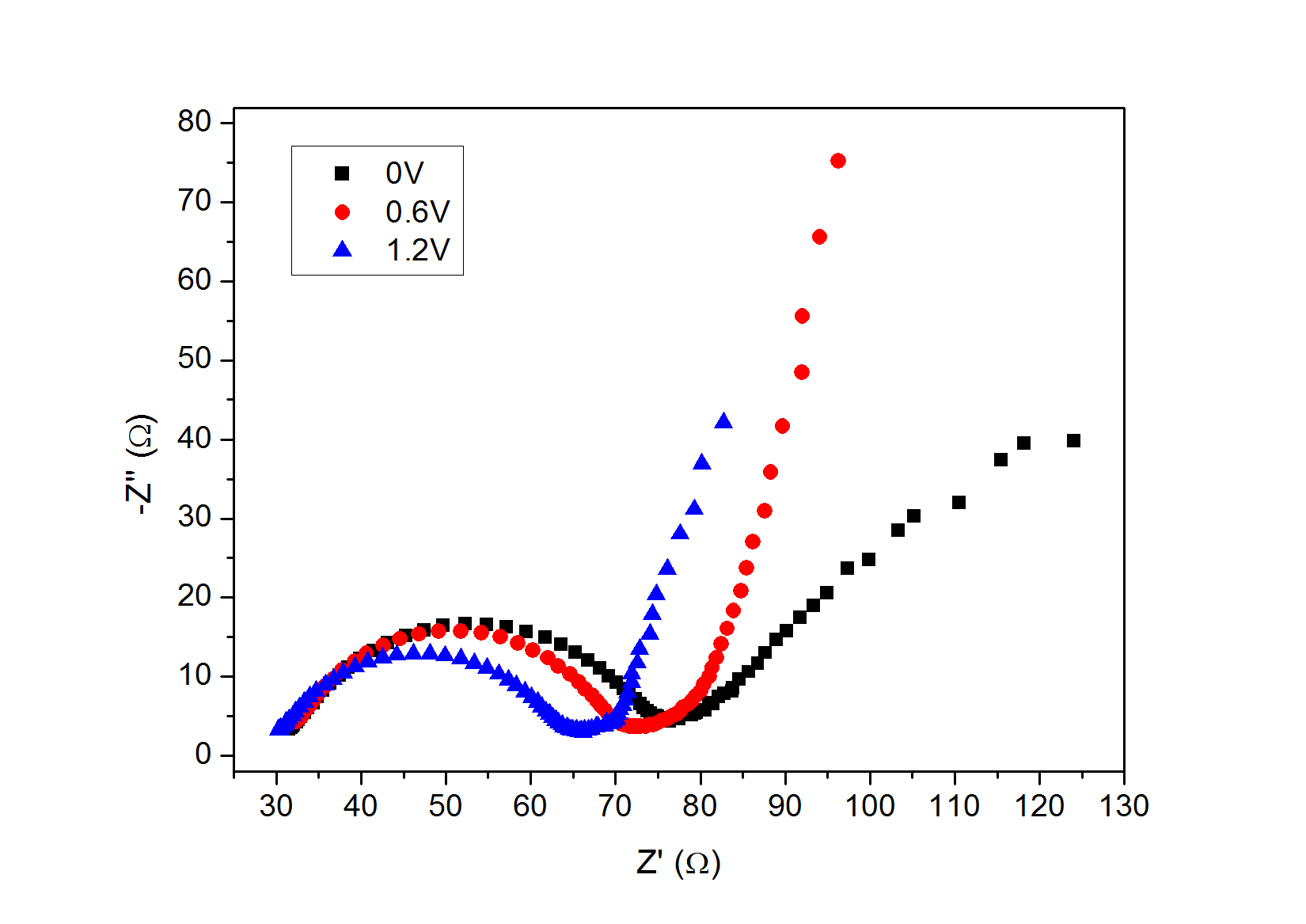
给所有的金币求分析EIS
能不能给一个合适的等效电路,随着输入电压的增大,Rct值不断减小,后来的扩散电阻,W,斜率越来越大,没法拟合。怎么办。
回复此楼
» 猜你喜欢
海南师范大学2026年博士研究生招收 (在职想提升学历人员可报考) 申请考核制
已经有0人回复
锂离子电池循环寿命衰减过快,求机理分析与改进思路
已经有2人回复
分析化学论文润色/翻译怎么收费?
已经有65人回复
求博导收留
已经有6人回复
CSC & MSCA 博洛尼亚大学能源材料课题组博士/博士后招生|MSCA经费充足、排名优
已经有6人回复
德国Karlsruhe Institute of Technology招收电化学储能及联合培养CSC博士等
已经有20人回复
德国Karlsruhe Institute of Technology招收电化学储能及联合培养CSC博士
已经有22人回复
德国Karlsruhe Institute of Technology招收电化学储能及联合培养CSC博士
已经有1人回复
固态锂金属电池迁移数计算求助
已经有1人回复
荷兰奈梅亨大学赵文博与Galimberti课题组招收理论计算CSC博士 2000 欧元/月+房补
已经有0人回复
26储能博士申请自荐
已经有11人回复
» 本主题相关价值贴推荐,对您同样有帮助:
10金币求热重分析(附图)碳纳米管修饰环糊精
已经有8人回复
【求助】求高手解释纯度分析,一次性给合理答案的10个金币
已经有11人回复
【求助】eis的能奎斯特图低频部分收缩,该怎么画等效电路图【散10金币答谢】
已经有4人回复
极化曲线和EIS的分析问题
已经有10人回复
【求助】大家给偶推荐个洗瓶机吧,还有其他环境分析仪器,有金币送哦。
已经有10人回复
【求助】EIS图谱分析
已经有9人回复
1楼
2011-12-19 14:19:27
已阅
回复此楼
关注TA
给TA发消息
送TA红花
TA的回帖
bianhy
至尊木虫
(著名写手)
ECEPI: 2
应助: 26
(小学生)
金币: 16838.8
散金: 20
红花: 26
帖子: 1380
在线: 677.8小时
虫号: 117380
注册: 2005-11-26
性别: GG
专业: 有机分析
【答案】应助回帖
感谢参与,应助指数 +1
把你等效电路中的warburg阻抗元件用CPE元件代替,就行了。
赞
一下
回复此楼
2楼
2011-12-20 15:44:33
已阅
回复此楼
关注TA
给TA发消息
送TA红花
TA的回帖
tangzh106
金虫
(正式写手)
应助: 11
(小学生)
金币: 604.7
散金: 2415
红花: 6
帖子: 771
在线: 104.4小时
虫号: 905508
注册: 2009-11-17
性别: GG
专业: 电化学
楼上的能不能贴个图过来,或说具体一些
我也遇到类此问题
赞
一下
回复此楼
浅滩虫
3楼
2011-12-20 18:46:15
已阅
回复此楼
关注TA
给TA发消息
送TA红花
TA的回帖
bianhy
至尊木虫
(著名写手)
ECEPI: 2
应助: 26
(小学生)
金币: 16838.8
散金: 20
红花: 26
帖子: 1380
在线: 677.8小时
虫号: 117380
注册: 2005-11-26
性别: GG
专业: 有机分析
【答案】应助回帖
引用回帖:
3楼
:
Originally posted by
tangzh106
at 2011-12-20 18:46:15:
楼上的能不能贴个图过来,或说具体一些
我也遇到类此问题
warburg阻抗,其等效电路为一容阻分布均匀的传输线,其Nyquist图的特点是一斜率为45度的直线。当条件发生变化,传输线的容阻分布不再均匀时,其Nyquist图的特点就会发生变化,斜率不再是1,呈现CPE形式。
关于这方面,近两年开始有专门的文献论述,你感兴趣不妨去查一下。
赞
一下
回复此楼
4楼
2011-12-21 12:30:54
已阅
回复此楼
关注TA
给TA发消息
送TA红花
TA的回帖
zhulili324
新虫
(初入文坛)
应助: 0
(幼儿园)
金币: 81.8
帖子: 26
在线: 40.9小时
虫号: 2165889
注册: 2012-12-04
专业: 凝聚态物性 II :电子结构
楼主在不同电压下测的阻抗是怎么测的啊?
赞
一下
回复此楼
5楼
2013-04-23 17:40:35
已阅
回复此楼
关注TA
给TA发消息
送TA红花
TA的回帖
相关版块跳转
有机交流
有机资源
高分子
无机/物化
分析
催化
工艺技术
化工设备
石油化工
精细化工
电化学
环境
SciFinder/Reaxys
我要订阅楼主
ichbinyang
的主题更新
5
1/1
返回列表
如果回帖内容含有宣传信息,请如实选中。否则帐号将被全论坛禁言
普通表情
龙
兔
虎
猫
百度网盘
|
360云盘
|
千易网盘
|
华为网盘
在新窗口页面中打开自己喜欢的网盘网站,将文件上传后,然后将下载链接复制到帖子内容中就可以了。
信息提示
关闭
请填处理意见
关闭
确定