| ²é¿´: 489 | »Ø¸´: 2 | ||
heroqeľ³æ (СÓÐÃûÆø)
|
[ÇóÖú]
ÇóÖú΢Æ×Êý¾Ý¿â²éѯ
|
|
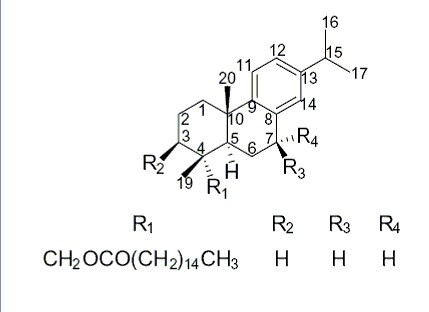
173.7,146.5,146.4,145.0,143.9,134.3,131.9,121.1,118.8,114.4,114.2,111.1,108.2,83.0,72.7,62.4,55.9,49.0,42.5,34.3,33.2,31.9,29.7,29.6,29.6,29.5,29.4,29.3,29.2,24.92,2.7,14.1̼Æ×Êý¾Ý ÈܼÁÊÇë®ÂÈ ºÃÐÄÈ˰ïæ²éÏ |
» ²ÂÄãϲ»¶
291Çóµ÷¼Á
ÒѾÓÐ7È˻ظ´
300Çóµ÷¼Á
ÒѾÓÐ8È˻ظ´
Çóµ÷¼ÁÍÆ¼ö
ÒѾÓÐ7È˻ظ´
289 ·Ö105500ҩѧר˶Çóµ÷¼Á(ÕÒBÇøÑ§Ð£)
ÒѾÓÐ4È˻ظ´
0854Çóµ÷¼Á
ÒѾÓÐ13È˻ظ´
³õÊÔ324 ÖÐҩѧ Ò»Ö¾Ô¸ÌìÖÐÒ½ Çóµ÷¼Á
ÒѾÓÐ3È˻ظ´
ҩѧÇóµ÷¼Á
ÒѾÓÐ14È˻ظ´
327Çóµ÷¼Á
ÒѾÓÐ27È˻ظ´
¼±Ðèµ÷¼Á
ÒѾÓÐ5È˻ظ´
271Çóµ÷¼Á
ÒѾÓÐ33È˻ظ´
» ±¾Ö÷ÌâÏà¹Ø¼ÛÖµÌùÍÆ¼ö£¬¶ÔÄúͬÑùÓаïÖú:
ÇóÖú¡¡Î¢Æ×Êý¾Ý¿â £Ã£Î£Í£ÒÊý¾Ý²éδ֪»¯ºÏÎï½á¹¹
ÒѾÓÐ6È˻ظ´
¡¾ÇóÖú¡¿¸ß¼¶´¼µÄ±£Áôʱ¼ä
ÒѾÓÐ4È˻ظ´
¡¾ÇóÖú¡¿ÖйúʹÓÃũҩƷÖÖÓÐÄÄЩ£¿
ÒѾÓÐ15È˻ظ´
jackey5460
ÈÙÓþ°æÖ÷ (ÖªÃû×÷¼Ò)
¼ªÏé¶þ±¦
- Ó¦Öú: 2 (Ó×¶ùÔ°)
- ¹ó±ö: 1.093
- ½ð±Ò: 28965.2
- É¢½ð: 9963
- ºì»¨: 60
- ɳ·¢: 3
- Ìû×Ó: 5863
- ÔÚÏß: 545.7Сʱ
- ³æºÅ: 287947
- ×¢²á: 2006-10-21
- רҵ: Ò©¼Áѧ
- ¹ÜϽ: ÎÄÏ×ÇóÖú
¡¾´ð°¸¡¿Ó¦Öú»ØÌû
¸Ðл²ÎÓ룬ӦÖúÖ¸Êý +1
heroqe(½ð±Ò+10): 2011-12-15 18:53:19
heroqe(½ð±Ò+10): 2011-12-15 18:53:19
|
²éѯ½á¹û£º¹²²éµ½73¸ö»¯ºÏÎï(²éѯ½á¹û½ö¹©²Î¿¼) 1 . abiet¦Á-8,11,13-trien-18-yl hexadecanoate C36H60O2 ÏàËÆ¶È:56.2% Phytochemistry 2008 69 498-505 Diterpene constituents of leaves from Juniperus brevifolia Ana M.L. Seca, Artur M.S. Silva, Isabel L. Bazzocchi, Ignacio A. Jimenez Structure 13C NMR ̼Æ×Ä£Äâͼ 2 . 4-N-stearyldihydroaaptamine C31H48O3N2 ÏàËÆ¶È:56.2% Journal of Natural Products 1999 62 1264-1267 Structures and Cytotoxicity Relationship of Isoaaptamine and Aaptamine Derivatives Ya-Ching Shen, Tain-Tsair Lin, Jyh-Horng Sheu, and Chang-Yih Duh Structure 13C NMR ̼Æ×Ä£Äâͼ 3 . (-)-labda-7,13-diene-3,15-diol 15-(ö-hydroxy fatty acid) ester ÏàËÆ¶È:56.2% Journal of Natural Products 1999 62 1504-1509 Sesterterpenoids and Diterpenoids of the Wax Excreted by a Scale Insect, Ceroplastes pseudoceriferus Masahiko Toki, Takashi Ooi, and Takenori Kusumi Structure 13C NMR ̼Æ×Ä£Äâͼ 4 . compound 1 ÏàËÆ¶È:56.2% Phytochemistry 1992 31 2115-2116 Isolation of secoisolariciresinol diesters from stems of Simaba cuneata Edson Rodrigues Fo, João B. Fernandes, Paulo C. Vieira, M.F¨¢tima Das G.F. Da Silva Structure 13C NMR ̼Æ×Ä£Äâͼ 5 . benzyloxybenzoic acid 2,3-bis-hexadecanoyloxypropyl esters(a) ÏàËÆ¶È:56.2% Canadian Journal of Chemistry 2006 84 1411-1415 Synthesis and characterization of a series of novel phenol- and polyphenol-based glycerolipids1 Rolf Schmidt, Joseph G. Carrigan, and Christine E. DeWolf Structure 13C NMR ̼Æ×Ä£Äâͼ 6 . (+)-Commiphotetrol C30H50O7 ÏàËÆ¶È:56.2% Zeitschrift f¨¹r Naturforschung B 2005 60b 1202-1206 Studies on the Constituents of Commiphora mukul Nighat Sultana, Atta-ur-Rahman, and Sarwat Jahan Structure 13C NMR ̼Æ×Ä£Äâͼ 7 . 15,16-epoxy-3-myristoyloxy-kauran-2-one C34H56O4 ÏàËÆ¶È:54.5% Phytochemistry 2004 65 1291-1298 Antibacterial diterpenes and their fatty acid conjugates from rice leaves Yoshiki Kono, Aya Kojima, Rieko Nagai, Manabu Watanabe,Takahiro Kawashima, Tsugu Onizawa, Tohru Teraoka, Minoru Watanab,Hiroyuki Koshino, Jun Uzawa, Yoshikatsu Suzuki, Akira Sakurai Structure 13C NMR ̼Æ×Ä£Äâͼ 8 . 6-ketostearoyldrimenol ÏàËÆ¶È:54.5% Journal of Natural Products 1994 Vol 57 905 New Fatty Acid Esters of Drimane Sesquiterpenes from Lactarius uvidus Luigi Garlaschelli, Giorgio Mellerio, Giovanni Vidari, Paola Vita-Finzi Structure 13C NMR ̼Æ×Ä£Äâͼ 9 . (SC)-5-ethyl-3-(2-methylbutoxy)-7-(4-undec-10-enoxyphenoxycarbonyl)-5H-dibenzophosphole 5-oxide C37H47O5P ÏàËÆ¶È:54.5% Heterocycles 2002 57 825-855 Synthesis of Asymmetric Dibenzophosphole 5-Oxides: The First Dibenzophosphole-based Family of Compounds with Liquid Crystalline Behaviour Ernesto Dur¨¢n, Dolores Velasco, and Francisco L¨®pez-Calahorra* Structure 13C NMR ̼Æ×Ä£Äâͼ 10 . (SC,SP)-5-ethyl-3-(2-methylbutoxy)-7-(4-undec-10-enoxyphenoxycarbonyl)-5H-dibenzophosphole 5-oxide C37H47O5P ÏàËÆ¶È:54.5% Heterocycles 2002 57 825-855 Synthesis of Asymmetric Dibenzophosphole 5-Oxides: The First Dibenzophosphole-based Family of Compounds with Liquid Crystalline Behaviour Ernesto Dur¨¢n, Dolores Velasco, and Francisco L¨®pez-Calahorra* Structure 13C NMR ̼Æ×Ä£Äâͼ 11 . kermadecin E C31H44O4 ÏàËÆ¶È:53.1% Phytochemistry 2008 69 533-540 Cytotoxic turrianes of Kermadecia elliptica from the New Caledonian rainforest Claire Jolly Odile Thoison Marie-Th¨¦r¨¨se Martin Vincent Dumontet Aline GilbertBruno Pfeiffer St¨¦phane L¨¦once Thierry Se´venetFranc¸oise Gu¨¦ritte Marc Litaudon Structure 13C NMR ̼Æ×Ä£Äâͼ 12 . asimin ÏàËÆ¶È:53.1% Journal of Natural Products 1999 62 1123-1127 Total Synthesis of the Cytotoxic Threo, Trans, Threo, Trans, Threo Annonaceous Acetogenin Asimin and Its C-10 Epimer: Unambiguous Confirmation of Absolute Stereochemistry James A. Marshall and Hongjian Jiang Structure 13C NMR ̼Æ×Ä£Äâͼ 13 . morinin J C33H50O5 ÏàËÆ¶È:53.1% Journal of Natural Products 1999 62 1325-1327 Morinins H-K, Four Novel Phenylpropanol Ester Lipid Metabolites from Morina chinensis Bao-Ning Su and Yoshihisa Takaishi Structure 13C NMR ̼Æ×Ä£Äâͼ 14 . labda-7,13-diene-15,20-diol 15-(ö-hydroxy fatty acid) ester ÏàËÆ¶È:53.1% Journal of Natural Products 1999 62 1504-1509 Sesterterpenoids and Diterpenoids of the Wax Excreted by a Scale Insect, Ceroplastes pseudoceriferus Masahiko Toki, Takashi Ooi, and Takenori Kusumi Structure 13C NMR ̼Æ×Ä£Äâͼ 15 . 4-hydroxy-25-desoxyneorollinic C37H66O7 ÏàËÆ¶È:53.1% Journal of Natural Products 1989 Vol 52 822 4-Hydroxy-25-desoxyneorollinicin, a New Bistetrahydrofuranoid Acetogenin from Rollinia papilionella Milton J. Abreo, Albert T. Sneden Structure 13C NMR ̼Æ×Ä£Äâͼ 16 . benzyloxybenzoic acid 2,3-bis-hexadecanoyloxypropyl esters(b) ÏàËÆ¶È:53.1% Canadian Journal of Chemistry 2006 84 1411-1415 Synthesis and characterization of a series of novel phenol- and polyphenol-based glycerolipids1 Rolf Schmidt, Joseph G. Carrigan, and Christine E. DeWolf Structure 13C NMR ̼Æ×Ä£Äâͼ 17 . benzyloxybenzoic acid 2,3-bis-hexadecanoyloxypropyl esters(c) ÏàËÆ¶È:53.1% Canadian Journal of Chemistry 2006 84 1411-1415 Synthesis and characterization of a series of novel phenol- and polyphenol-based glycerolipids1 Rolf Schmidt, Joseph G. Carrigan, and Christine E. DeWolf Structure 13C NMR ̼Æ×Ä£Äâͼ 18 . digitoxigenin palmitate C39H64O5 ÏàËÆ¶È:53.1% Phytochemistry 1990 29 837-843 Biotransformation of digitoxigenin by ginseng hairy root cultures Kiichiro Kawaguchi,Masao Hirotani,Takafumi Yoshikawa,Tsutomu Furuya Structure 13C NMR ̼Æ×Ä£Äâͼ 19 . Compound 8 ÏàËÆ¶È:53.1% Bioorganic & Medicinal Chemistry Letters 2000 10 2679-2681 Total synthesis of mololipids: A new series of anti-HIV Moloka'iamine derivatives Ryan C. Schoenfeld, Jean-Philip Lumb, Jacques Fantini, Bruce Ganem Structure 13C NMR ̼Æ×Ä£Äâͼ 20 . Compound 4b ÏàËÆ¶È:53.1% Bioorganic & Medicinal Chemistry Letters 2003 13 2663-2665 Hypocholesterolemic activity of hesperetin derivatives Tae-Sook Jeong, Eun Eai Kim, Chul-Ho Lee, Jung-Hoon Oh, Surk-Sik Moon, Woo Song Lee, Goo-Taeg Oh, Sangku Lee, Song-Hae Bok Structure 13C NMR ̼Æ×Ä£Äâͼ 21 . ginsenoyne M C32H46O2 ÏàËÆ¶È:53.1% Heterocycles 2000 53 2451-2457 Three Diels-Alder Type Adducts, Ginsenoynes L, M, and N, from the Roots of Panax ginseng Kazuhiro Hirakura,* Kou Sugama, Makoto Morita, Kaoru Nakajima, Hiroshi Sasaki, Minoru Okada, and Hajime Sato Structure 13C NMR ̼Æ×Ä£Äâͼ 22 . (3S)-6-[(tetradecanoyloxy)methyl]9-fluoro-2,3-dihydro-3-methyl-10-(4-methyl-1-piperazinyl)-7-oxo-7H-pyrido[1,2,3-de]-1,4-benzoxazine-6-carboxylate C33H48FN3O6 ÏàËÆ¶È:53.1% Bioorganic & Medicinal Chemistry 2010 18 8537-8548 Novel lipophilic 7H-pyrido[1, 2, 3-de]-1, 4-benzoxazine-6-carboxylic acid derivatives as potential antitumor agents: Improved synthesis and in vitro evaluation Alexander Korolyov, Sandra Dorbes, Joëlle Az¨¦ma, Brigitte Guidetti, Mathieu Danel, Delphine Lamoral-Theys, Thierry Gras, Jacques Dubois, Robert Kiss, Robert Martino, Myriam Malet-Martino Structure 13C NMR ̼Æ×Ä£Äâͼ 23 . (3S)-6-[(hexadecanoyloxy)methyl]9-fluoro-3,7-dihydro-3-methyl-10-(4-methylpiperazin-1-yl)-7-oxo-2H-[1,4]oxazino-[2,3,4-ij]quinoline-6-carboxylate C35H52FN3O6 ÏàËÆ¶È:53.1% Bioorganic & Medicinal Chemistry 2010 18 8537-8548 Novel lipophilic 7H-pyrido[1, 2, 3-de]-1, 4-benzoxazine-6-carboxylic acid derivatives as potential antitumor agents: Improved synthesis and in vitro evaluation Alexander Korolyov, Sandra Dorbes, Joëlle Az¨¦ma, Brigitte Guidetti, Mathieu Danel, Delphine Lamoral-Theys, Thierry Gras, Jacques Dubois, Robert Kiss, Robert Martino, Myriam Malet-Martino Structure 13C NMR ̼Æ×Ä£Äâͼ 24 . (3S)-6-[(octadecanoyloxy)methyl]9-fluoro-2,3-dihydro-3-methyl-10-(4-methyl-1-piperazinyl)-7-oxo-7H-pyrido[1,2,3-de]-1,4-benzoxazine-6-carboxylate C37H56FN3O6 ÏàËÆ¶È:53.1% Bioorganic & Medicinal Chemistry 2010 18 8537-8548 Novel lipophilic 7H-pyrido[1, 2, 3-de]-1, 4-benzoxazine-6-carboxylic acid derivatives as potential antitumor agents: Improved synthesis and in vitro evaluation Alexander Korolyov, Sandra Dorbes, Joëlle Az¨¦ma, Brigitte Guidetti, Mathieu Danel, Delphine Lamoral-Theys, Thierry Gras, Jacques Dubois, Robert Kiss, Robert Martino, Myriam Malet-Martino Structure 13C NMR ̼Æ×Ä£Äâͼ 25 . 4-(6-iodo-9-hexadecylcarbazol-3-yl)-2-methylbut-3-yn-2-ol C33H46IN ÏàËÆ¶È:53.1% The Journal of Organic Chemistry 2006 71 7422-7432 Novel Diethynylcarbazole Macrocycles: Synthesis and Optoelectronic Properties Tianyue Zhao, Zhanxiang Liu, Yabin Song, Wei Xu, Deqing Zhang, and Daoben Zhu Structure 13C NMR ̼Æ×Ä£Äâͼ |
2Â¥2011-12-15 18:52:28
jackey5460
ÈÙÓþ°æÖ÷ (ÖªÃû×÷¼Ò)
¼ªÏé¶þ±¦
- Ó¦Öú: 2 (Ó×¶ùÔ°)
- ¹ó±ö: 1.093
- ½ð±Ò: 28965.2
- É¢½ð: 9963
- ºì»¨: 60
- ɳ·¢: 3
- Ìû×Ó: 5863
- ÔÚÏß: 545.7Сʱ
- ³æºÅ: 287947
- ×¢²á: 2006-10-21
- רҵ: Ò©¼Áѧ
- ¹ÜϽ: ÎÄÏ×ÇóÖú
3Â¥2011-12-15 18:54:05













»Ø¸´´ËÂ¥
5