| 查看: 666 | 回复: 3 | |
chenglei521金虫 (小有名气)
|
[求助]
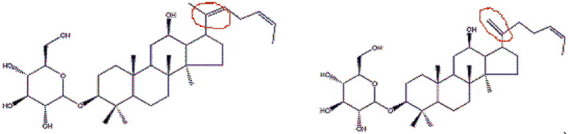
求两种极性相似的新化合物的分离
|
![]() |
|
|
|
|
hupanyong木虫 (正式写手)
|
|
|
2楼2011-11-29 18:39:29
|
|
lizi7952荣誉版主 (文坛精英)
我是一只小小小小虫
|
|
![]() |
|
|
3楼2011-11-29 19:00:24
|
|
wangfei.ac
|
|
|
4楼2011-11-30 15:22:46
|
|













回复此楼
