| 查看: 195 | 回复: 1 | |
[求助]
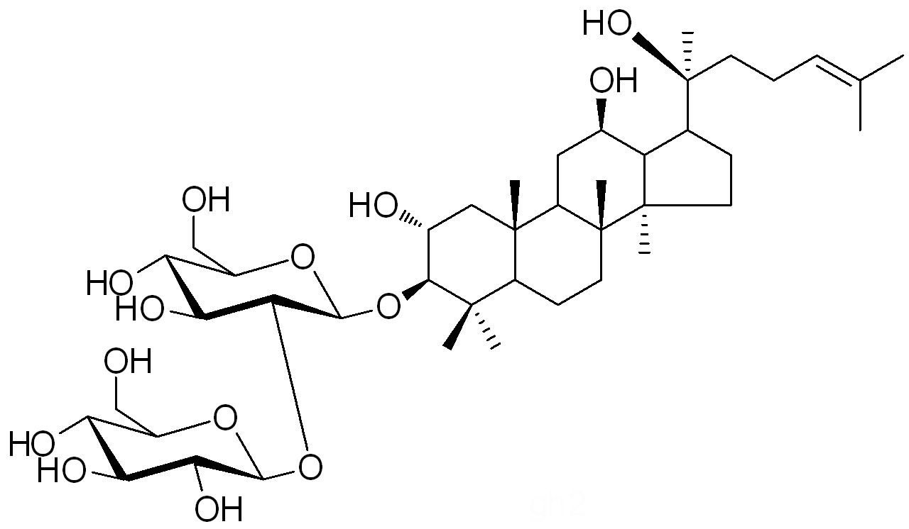
请帮忙命名我的化合物,谢谢了!
|
|
|
|
|
|
2楼2011-11-29 08:40:07
|
|













回复此楼