±±¾©Ê¯ÓÍ»¯¹¤Ñ§Ôº2026ÄêÑо¿ÉúÕÐÉú½ÓÊÕµ÷¼Á¹«¸æ
²é¿´: 786  |  »Ø¸´: 6

chj0906

Òø³æ (СÓÐÃûÆø)


[½»Á÷] ·°µç³ØÎÊÌâ

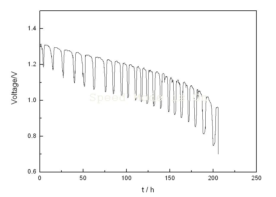
ÄúºÃ£¡±¾È˸տªÊ¼×ö·°µç³Ø¡£×ʼ¼¸´Î×öµÄ·ÅµçÇúÏßÕý³££¬µ«ÊÇ×î½ü×öµÄ·ÅµçÇúÏß¶¼²»Õý³££¬µçÑ¹ËæÊ±¼äµÄ²¨¶¯ºÜ´ó¡£Í¼¼û¸½¼þ¡£ Çë¸ßÊÖÖ¸µãÖ¸µã£¡·Ç³£¸Ðл£¡
»Ø¸´´ËÂ¥

» ²ÂÄãϲ»¶

» ÇÀ½ð±ÒÀ²£¡»ØÌû¾Í¿ÉÒԵõ½:

²é¿´È«²¿É¢½ðÌù

ÒÑÔÄ   »Ø¸´´ËÂ¥   ¹Ø×¢TA ¸øTA·¢ÏûÏ¢ ËÍTAºì»¨ TAµÄ»ØÌû

°µÒ¹ÓÄ»ê26

ľ³æ (СÓÐÃûÆø)


chj0906(½ð±Ò+2): 2011-12-12 18:13:26
µçѹ²»¶ÏÍùϽµ£¬ÈÝÁ¿Ò²²»¶Ï¼õС£¬¹À¼ÆÊÇµç³ØÄÚ²¿×ԷŵçÌ«ÑÏÖØÁË
2Â¥2011-12-10 16:56:10
ÒÑÔÄ   »Ø¸´´ËÂ¥   ¹Ø×¢TA ¸øTA·¢ÏûÏ¢ ËÍTAºì»¨ TAµÄ»ØÌû

hww898

Ìú¸Ëľ³æ (ÕýʽдÊÖ)


¡ï
Сľ³æ(½ð±Ò+0.5):¸ø¸öºì°ü£¬Ð»Ð»»ØÌû
chj0906(½ð±Ò+2): 2011-12-12 18:16:05
ÊDz»ÊÇÓÐÄÚ©Ôì³É»ìҺѽ
3Â¥2011-12-11 13:34:01
ÒÑÔÄ   »Ø¸´´ËÂ¥   ¹Ø×¢TA ¸øTA·¢ÏûÏ¢ ËÍTAºì»¨ TAµÄ»ØÌû

chj0906

Òø³æ (СÓÐÃûÆø)


ÒýÓûØÌû:
2Â¥: Originally posted by °µÒ¹ÓÄ»ê26 at 2011-12-10 16:56:10:
µçѹ²»¶ÏÍùϽµ£¬ÈÝÁ¿Ò²²»¶Ï¼õС£¬¹À¼ÆÊÇµç³ØÄÚ²¿×ԷŵçÌ«ÑÏÖØÁË

Õâ¸öͼÊÇÔÚµçÁ÷ÃܶÈ40mA/cm2ϽøÐкãÁ÷·ÅµçµÄ£¬ÎÒµÄÖ÷ÒªÎÊÌâÊǵçѹ²¨¶¯Ì«´ó£¬Õý³£µÄÓ¦¸ÃÊÇÖð½¥Ï½µµÄÇúÏß¡£
4Â¥2011-12-12 18:15:51
ÒÑÔÄ   »Ø¸´´ËÂ¥   ¹Ø×¢TA ¸øTA·¢ÏûÏ¢ ËÍTAºì»¨ TAµÄ»ØÌû

chj0906

Òø³æ (СÓÐÃûÆø)


ÒýÓûØÌû:
3Â¥: Originally posted by hww898 at 2011-12-11 13:34:01:
ÊDz»ÊÇÓÐÄÚ©Ôì³É»ìҺѽ

»ìÒºµÄ»°£¬·Åµçµçѹ»á²¨¶¯ºÜ´ó£¿
5Â¥2011-12-12 18:16:43
ÒÑÔÄ   »Ø¸´´ËÂ¥   ¹Ø×¢TA ¸øTA·¢ÏûÏ¢ ËÍTAºì»¨ TAµÄ»ØÌû

chj0906

Òø³æ (СÓÐÃûÆø)


ÒýÓûØÌû:
Â¥: Originally posted by °µÒ¹ÓÄ»ê26 at 2011-12-10 16:56:10:
µçѹ²»¶ÏÍùϽµ£¬ÈÝÁ¿Ò²²»¶Ï¼õС£¬¹À¼ÆÊÇµç³ØÄÚ²¿×ԷŵçÌ«ÑÏÖØÁË

Õâ¸öͼÊÇÔÚµçÁ÷ÃܶÈ40mA/cm2ϽøÐкãÁ÷·ÅµçµÄ£¬ÎÒµÄÖ÷ÒªÎÊÌâÊǵçѹ²¨¶¯Ì«´ó£¬Õý³£µÄÓ¦¸ÃÊÇÖð½¥Ï½µµÄÇúÏß¡£
6Â¥2011-12-12 18:20:10
ÒÑÔÄ   »Ø¸´´ËÂ¥   ¹Ø×¢TA ¸øTA·¢ÏûÏ¢ ËÍTAºì»¨ TAµÄ»ØÌû

chj0906

Òø³æ (СÓÐÃûÆø)


ÒýÓûØÌû:
Â¥: Originally posted by hww898 at 2011-12-11 13:34:01:
ÊDz»ÊÇÓÐÄÚ©Ôì³É»ìҺѽ

»ìÒºµÄ»°£¬·Åµçµçѹ»á²¨¶¯ºÜ´ó£¿
7Â¥2011-12-12 18:20:26
ÒÑÔÄ   »Ø¸´´ËÂ¥   ¹Ø×¢TA ¸øTA·¢ÏûÏ¢ ËÍTAºì»¨ TAµÄ»ØÌû
Ïà¹Ø°æ¿éÌø×ª ÎÒÒª¶©ÔÄÂ¥Ö÷ chj0906 µÄÖ÷Ìâ¸üÐÂ
×î¾ßÈËÆøÈÈÌûÍÆ¼ö [²é¿´È«²¿] ×÷Õß »Ø/¿´ ×îºó·¢±í
[¿¼ÑÐ] 302Çóµ÷¼Á +9 zyxÉϰ¶£¡ 2026-04-02 9/450 2026-04-02 23:07 by Âí¶ù¿ì¿ìµØÅÜ
[¿¼ÑÐ] 280Çóµ÷¼Á +13 ¹¾ààÏþÏþ 2026-04-02 14/700 2026-04-02 22:53 by Î޼ʵIJÝÔ­
[¿¼ÑÐ] 22408µ÷¼Á +3 EEchoooo 2026-03-27 5/250 2026-04-02 20:19 by EEchoooo
[¿¼ÑÐ] ÇóÉúÎïѧµ÷¼Á +10 15172915737 2026-04-01 10/500 2026-04-02 18:53 by ŶŶàŹþ
[¿¼ÑÐ] Ò»Ö¾Ô¸ÉϺ£º£Ñó´óѧ083200ʳƷѧ˶£¬Çóµ÷¼Á£¬½ÓÊÜÆäËûרҵ +6 whatÕÅ 2026-04-01 7/350 2026-04-02 16:48 by zzsw+
[¿¼²©] ²ÄÁϹ¤³Ìרҵ˶ʿÉ격 +3 ÷ëÕýÓî 2026-03-30 3/150 2026-04-02 15:04 by greychen00
[¿¼ÑÐ] ²ÄÁÏרҵÇóµ÷¼Á +10 ÔÂÔÂÄñľ 2026-04-01 10/500 2026-04-02 12:57 by wxiongid
[¿¼ÑÐ] 085600£¬²ÄÁÏÓ뻯¹¤321·Ö£¬Çóµ÷¼Á +13 ´ó²öС×Ó 2026-03-27 13/650 2026-04-02 10:48 by sanrepian
[¿¼ÑÐ] 273Çóµ÷¼Á +19 ÀîÜÆÐÂ1 2026-03-31 19/950 2026-04-01 21:49 by chyhaha
[¿¼ÑÐ] ²ÄÁÏ¿ÆÑ§Ó빤³Ì339Çóµ÷¼Á +11 hyz0119 2026-03-31 12/600 2026-04-01 18:40 by ΰ´óºÓ±±
[¿¼ÑÐ] 285Çóµ÷¼Á +5 FZAC123 2026-03-30 5/250 2026-04-01 15:50 by º«Ó꺭
[¿¼ÑÐ] »·¾³¹¤³Ì 085701£¬267Çóµ÷¼Á +15 minht 2026-03-29 16/800 2026-04-01 10:13 by li_sujuan99
[¿¼ÑÐ] 0856µ÷¼Á +7 ÇúÌýóÞ 2026-03-30 7/350 2026-04-01 08:51 by JourneyLucky
[¿¼ÑÐ] Çóµ÷¼Á +8 11ggg 2026-03-30 8/400 2026-03-31 13:56 by nanaliuyun
[¿¼ÑÐ] µ÷¼ÁÇóԺУÕÐÊÕ +7 º×¾¨¸ë 2026-03-28 7/350 2026-03-31 11:21 by oooqiao
[¿¼ÑÐ] ¼ª´óÉúÎïѧ326·ÖÇóµ÷¼Á +3 sunnyupup 2026-03-31 3/150 2026-03-31 09:28 by longlotian
[¿¼ÑÐ] 086000ÉúÎïÓëÒ½Ò©µ÷¼Á +5 Feisty¡£ 2026-03-28 9/450 2026-03-29 12:02 by longlotian
[¿¼ÑÐ] Çó·ð +7 ÃÔÈ˵Ĺþ¹þ 2026-03-28 7/350 2026-03-28 16:47 by ´ß»¯´ó°×
[¿¼ÑÐ] 283Çóµ÷¼Á +3 A child 2026-03-28 3/150 2026-03-28 15:41 by ms629
[¿¼ÑÐ] 081200-314 +3 LILIQQ 2026-03-27 4/200 2026-03-28 09:41 by ±£»¤µØÇòÄãÎÒ×öÆ
ÐÅÏ¢Ìáʾ
ÇëÌî´¦ÀíÒâ¼û